+Advanced Search
  • Volume 54,Issue 5,2025 Table of Contents
    Select All
    Display Type: |
    • >Materials Science
    • Effect of Current Density and Strain Rate on Deformation Resistance During Electrically-Assisted Compression of AlCr1.3TiNi2 Eutectic High-Entropy Alloys

      2025, 54(5):1121-1126. DOI: 10.12442/j.issn.1002-185X.20240561

      Abstract (168) HTML (209) PDF 2.06 M (438) Comment (0) Favorites

      Abstract:The effect of deformation resistance of AlCr1.3TiNi2 eutectic high-entropy alloys under various current densities and strain rates was investigated during electrically-assisted compression. Results show that at current density of 60 A/mm2 and strain rate of 0.1 s-1, the ultimate tensile stress shows a significant decrease from approximately 3000 MPa to 1900 MPa with reduction ratio of about 36.7%. However, as current density increases, elongation decreases due to intermediate temperature embrittlement. This is because the current induces Joule effect, which then leads to stress concentration and more defect formation. Moreover, the flow stress is decreased with the increase in strain rate at constant current density.

      • 0+1
      • 1+1
      • 2+1
      • 3+1
      • 4+1
    • Influence of N2 Flow Rate on Microstructure and Corrosion Resistance of TaN Coatings on Bipolar Plates of PEM Electrolyser

      2025, 54(5):1127-1133. DOI: 10.12442/j.issn.1002-185X.20240720

      Abstract (192) HTML (163) PDF 2.85 M (547) Comment (0) Favorites

      Abstract:TaN coatings were deposited on Ti bipolar plates by magnetron sputtering to improve corrosion resistance and service life. The influence of N2 flow rate on the surface morphology, hydrophobicity, crystallinity, corrosion resistance, and interfacial contact resistance of TaN coatings was studied. Results show that as the N2 flow rate increases, the roughness of TaN coatings decreases firstly and then increases, and the hydrophobicity increases firstly and then decreases. At the N2 flow rate of 3 mL/min, TaN coating with larger grain size presents lower roughness and high hydrophobicity. The coating possesses the lowest corrosion current density of 2.82 μA·cm-2 and the highest corrosion potential of -0.184 V vs. SCE in the simulated proton exchange membrane water electrolyser environment. After a potentiostatic polarization test for 10 h, a few corrosion pits are observed on the TaN coatings deposited at an N2 flow rate of 3 mL/min. After 75 h of electrolytic water performance testing, the TaN coating on bipolar plate improves the corrosion resistance and thus enhances the electrolysis efficiency (68.87%), greatly reducing the cost of bipolar plates.

      • 0+1
      • 1+1
      • 2+1
      • 3+1
      • 4+1
      • 5+1
    • Hot Deformation Characteristics of Fe-Cr-Ni-based Alloys in Advanced Nuclear Applications

      2025, 54(5):1134-1144. DOI: 10.12442/j.issn.1002-185X.20240228

      Abstract (100) HTML (154) PDF 5.62 M (553) Comment (0) Favorites

      Abstract:Thermal deformation characteristics of Fe-Cr-Ni-based alloys for nuclear power plants were investigated using a Gleeble-3500 thermal simulation tester. The microstructure evolution law of alloy heat deformation was investigated using the electron backscatter diffraction (EBSD) technique. Results demonstrate that the flow stress curves show typical dynamic recrystallization (DRX) characteristics. According to EBSD analysis, the nucleation and growth of DRX grains are mainly at grain boundaries. The complete DRX occurs at 1100 °C/0.01 s-1 condition, and the grains are refined. The main DRX nucleation mechanism of the alloy is the grain boundary bowing nucleation. Therefore, the softening mechanism of Fe-Cr-Ni-based alloys for nuclear power plants is the combination of dynamic recovery and DRX. The Arrhenius constitutive model with strain compensation is developed. The correlation coefficient between the predicted and experimental values is 0.9947. The reliable mathematical model of critical stress (strain) and Z parameter is obtained. The critical stress (strain) of DRX increases as the temperature decreases or the strain rate increases. The DRX kinetic model is established by the Avrami model, and a typical S-type curve is obtained. As the strain rate decreases and the temperature increases, the volume fraction of DRX increases.

      • 0+1
      • 1+1
      • 2+1
      • 3+1
      • 4+1
      • 5+1
      • 6+1
      • 7+1
      • 8+1
      • 9+1
      • 10+1
      • 11+1
      • 12+1
      • 13+1
      • 14+1
      • 15+1
    • Effects of Co-addition of Ni and Zn on Microstructure and Mechanical Properties of Extruded Mg-Y-Cu Alloy

      2025, 54(5):1145-1155. DOI: 10.12442/j.issn.1002-185X.20240205

      Abstract (92) HTML (138) PDF 3.96 M (353) Comment (0) Favorites

      Abstract:The effects of the co-addition of Ni and Zn on the microstructure and mechanical properties of the extruded Mg-6.84Y-2.45Cu (MYC, wt%) alloy were researched. Results show that the as-cast Mg-6.79Y-1.21Cu-1.12Ni-1.25Zn (MYCNZ, wt%) alloy consists of the α-Mg, a few Y-rich phases, lamellar 18R-long period stacking ordered (LPSO) phase, and granular Mg2(Cu, Ni, Zn) phase. After the homogenization process, phase transformation occurs in MYCNZ alloy. Some 18R-LPSO phases at the grain boundary are transformed into the thin striped 14H-LPSO phase in the grains. After extrusion, the amount, morphology, and distribution of the second phase are changed, and the grain size of the extruded MYCNZ alloy is significantly reduced to approximately 2.62 μm. Additionally, a weaker basal texture is formed in the extruded MYCNZ alloy. The tensile results indicate that the co-addition of Ni and Zn significantly enhances the tensile strength of the extruded MYC alloy while maintaining good ductility. The tensile yield strength (σ0.2), ultimate tensile strength (σb), and elongation to failure (εL) of the extruded MYCNZ alloy are 266.9 MPa, 299.8 MPa, and 20.1%, respectively. This alloy has a good strength-plastic synergistic effect. The excellent tensile strength of the extruded MYCNZ alloy at room temperature is mainly due to grain refinement and the second phase strengthening effect, and its outstanding ductility is ascribed to the texture weakening and activation of non-basal slips.

      • 0+1
      • 1+1
      • 2+1
      • 3+1
      • 4+1
      • 5+1
      • 6+1
      • 7+1
      • 8+1
      • 9+1
    • Effects of Mg on P Segregation at α-Fe Σ3(111) GB

      2025, 54(5):1156-1164. DOI: 10.12442/j.issn.1002-185X.20240554

      Abstract (112) HTML (190) PDF 2.23 M (225) Comment (0) Favorites

      Abstract:First-principles theory calculations were used to investigate the segregation behavior of P and Mg as well as the interactions between Mg and P at α-Fe Σ3(111) symmetrical tilt grain boundary (GB). Results demonstrate that both P and Mg are segregated at GB, and P has a stronger segregation potency. Mg prefers to substitute at grain boundary plane with the largest absorbable vacancy, whereas P inclines to substitute at the sites near Fe atoms to form strong covalent Fe-P bonds. When Mg exists at GB, the segregation behavior of P may be greatly inhibited by the decrease in possible solution sites and the increase in segregation energy. P has stronger interactions with Mg at GB, forming a lower energy hybridization peak. These results can be used to explain why the addition of a small amount of Mg can ameliorate the temper embrittlement phenomenon.

      • 0+1
      • 1+1
      • 2+1
      • 3+1
      • 4+1
      • 5+1
      • 6+1
      • 7+1
      • 8+1
    • Influence of Process Parameters on Forming Quality of Single-Channel Multilayer by Joule Heat Fuse Additive Manufacturing

      2025, 54(5):1165-1176. DOI: 10.12442/j.issn.1002-185X.20240225

      Abstract (109) HTML (124) PDF 2.68 M (277) Comment (0) Favorites

      Abstract:To overcome the shortage of complex equipment, large volume, and high energy consumption in space capsule manufacturing, a novel sliding pressure Joule heat fuse additive manufacturing technique with reduced volume and low energy consumption was proposed. But the unreasonable process parameters may lead to the inferior consistency of the forming quality of single-channel multilayer in Joule heat additive manufacturing process, and it is difficult to reach the condition for forming thin-walled parts. Orthogonal experiments were designed to fabricate single-channel multilayer samples with varying numbers of layers, and their forming quality was evaluated. The influence of printing current, forming speed, and contact pressure on the forming quality of the single-channel multilayer was analyzed. The optimal process parameters were obtained and the quality characterization of the experiment results was conducted. Results show that the printing current has the most significant influence on the forming quality of the single-channel multilayer. Under the optimal process parameters, the forming section is well fused and the surface is continuously smooth. The surface roughness of a single-channel 3-layer sample is 0.16 μm, and the average Vickers hardness of cross section fusion zone is 317 HV, which lays a foundation for the subsequent use of Joule heat additive manufacturing technique to form thin-wall parts.

      • 0+1
      • 1+1
      • 2+1
      • 3+1
      • 4+1
      • 5+1
      • 6+1
      • 7+1
      • 8+1
      • 9+1
      • 10+1
      • 11+1
      • 12+1
      • 13+1
      • 14+1
      • 15+1
      • 16+1
      • 17+1
      • 18+1
      • 19+1
      • 20+1
      • 21+1
      • 22+1
      • 23+1
      • 24+1
      • 25+1
      • 26+1
      • 27+1
      • 28+1
      • 29+1
      • 30+1
      • 31+1
      • 32+1
      • 33+1
      • 34+1
      • 35+1
      • 36+1
      • 37+1
      • 38+1
      • 39+1
      • 40+1
      • 41+1
      • 42+1
      • 43+1
      • 44+1
      • 45+1
      • 46+1
      • 47+1
      • 48+1
      • 49+1
      • 50+1
      • 51+1
      • 52+1
      • 53+1
      • 54+1
      • 55+1
      • 56+1
      • 57+1
      • 58+1
      • 59+1
      • 60+1
      • 61+1
      • 62+1
      • 63+1
      • 64+1
      • 65+1
      • 66+1
      • 67+1
      • 68+1
      • 69+1
      • 70+1
      • 71+1
      • 72+1
      • 73+1
      • 74+1
      • 75+1
      • 76+1
      • 77+1
      • 78+1
      • 79+1
      • 80+1
      • 81+1
      • 82+1
      • 83+1
      • 84+1
      • 85+1
      • 86+1
      • 87+1
      • 88+1
      • 89+1
    • Microstructure and Mechanical Properties of PDC Cutters Vacuum Brazed by AgCuInTi Filler Metal

      2025, 54(5):1177-1184. DOI: 10.12442/j.issn.1002-185X.20240207

      Abstract (148) HTML (193) PDF 2.49 M (302) Comment (0) Favorites

      Abstract:Polycrystalline diamond compact (PDC) cutters and carbon steel were brazed by AgCuInTi filler metal under vacuum condition. The effects of brazing temperature on the wettability of base metal and shear strength of joints were investigated. Besides, the joint's interface microstructure, composition, and phases were analyzed. Results show that the AgCuInTi filler metal exerts a good wetting effect to the surface of cemented carbide and steel. With the increase in brazing temperature, the wetting angle decreases and the spreading area increases. The suitable temperature for vacuum brazing of PDC cutters is 770 °C, and the maximum shear strength is 228 MPa at this temperature.

      • 0+1
      • 1+1
      • 2+1
      • 3+1
      • 4+1
      • 5+1
      • 6+1
      • 7+1
      • 8+1
      • 9+1
    • Effect of Heat Treatment Holding Time on Microstructure and Tensile Properties of Ti55511 Alloy

      2025, 54(5):1185-1193. DOI: 10.12442/j.issn.1002-185X.20240192

      Abstract (168) HTML (165) PDF 4.10 M (303) Comment (0) Favorites

      Abstract:The effect of holding time of double annealing process on the microstructure and mechanical properties of Ti-5Al-5Mo-5V-1Cr-1Fe (Ti55511) alloy was investigated.Results reveal that the shape and size of the primary α (αp) phase are predominantly influenced by the holding time at the first stage. With the prolongation of holding time, the long strip of αp is transformed into a short rod due to the terminal migration mechanism, leading to the broadening growth, and the growth of αp slows down when the holding time is over 2 h. The volume fraction of αp is mainly affected by the holding time of the second stage: with the prolongation of holding time, the volume fraction of αp is increased, which is accompanied by the precipitation of the secondary α (αs). The mechanical properties of Ti55511 alloy are influenced by both αp and αs. Tensile results indicate that the optimal holding time of double annealing is 1–4 h for the first stage and 0.5–2 h for the second stage.

      • 0+1
      • 1+1
      • 2+1
      • 3+1
      • 4+1
      • 5+1
      • 6+1
      • 7+1
      • 8+1
      • 9+1
      • 10+1
    • Preparation and High-Temperature Oxidation Performance of TiC-NiCr Cermet

      2025, 54(5):1194-1206. DOI: 10.12442/j.issn.1002-185X.20240198

      Abstract (146) HTML (125) PDF 4.75 M (292) Comment (0) Favorites

      Abstract:Powder metallurgy was used to fabricate TiC-NiCr cermets and the oxidation behavior at 900 °C was investigated. Results reveal that TiC-NiCr cermets have uniform structures with excellent mechanical properties, whose hardness is 65 HRC and flexural strength is 1450 MPa. The high-temperature oxidation mechanism of TiC-based cermets was investigated through an X-ray diffractometer and scanning electron microscope. The added elements Ni and Cr along with their solid solutions not only bond with the hard phase TiC to ensure the physical performance of the cermet, but also impede the internal diffusion during oxidation by forming a dense composite oxide layer, thereby enhancing the oxidation resistance. The TiC-NiCr cermet exhibits a dense protective oxide layer at 900 °C and can endure continuous oxidation for approximately 1000 h. A methodology for fabricating TiC-NiCr metal matrix composites is proposed, and their oxidation resistance is evaluated, providing a theoretical and practical basis for simultaneously enhancing the mechanical properties and oxidation resistance and reducing production costs.

      • 0+1
      • 1+1
      • 2+1
      • 3+1
      • 4+1
      • 5+1
      • 6+1
      • 7+1
      • 8+1
      • 9+1
      • 10+1
      • 11+1
      • 12+1
      • 13+1
      • 14+1
      • 15+1
    • Theory and Method of Transformative Metallurgy (Dissocia-tion and Purification) of Beryllium Ore

      2025, 54(5):1207-1216. DOI: 10.12442/j.issn.1002-185X.20240130

      Abstract (150) HTML (169) PDF 1.54 M (300) Comment (0) Favorites

      Abstract:A transformative beryllium metallurgy theory and method was proposed based on the low-temperature dissociation of hydrofluoric acid and purification by exploiting the large difference of fluoride solubility. Hydrofluoric acid can quickly dissociate beryllium ore powder directly at low or room temperature with more than 99% dissociation rate. The solubility of AlF3, FeF3, CrF3, and MgF2 is low. Coupled with common ion effect, 99.9%-purity beryllium products can be prepared without chemical purification. For high-purity beryllium products of grade 4N or higher, they can be prepared through the superior property that the pH intervals of iron, chromium, and other hydroxide precipitates are distinctly different from those corresponding to Be(OH)2 precipitates. This new method can be used to prepare most of the beryllium products that are prepared by modern beryllium metallurgy.

      • 0+1
      • 1+1
      • 2+1
      • 3+1
      • 4+1
      • 5+1
      • 6+1
      • 7+1
      • 8+1
      • 9+1
    • Effect of Vanadium Content on Carbide Evolution and Mechanical Properties of Ultra-clean 30Cr2Ni4MoV Rotor Steel

      2025, 54(5):1217-1228. DOI: 10.12442/j.issn.1002-185X.20230827

      Abstract (315) HTML (188) PDF 11.03 M (703) Comment (0) Favorites

      Abstract:The effects of V content (0.1wt%, 0.2wt%) on the carbide evolution and mechanical properties of ultra-clean 30Cr2Ni4MoV rotor steel under different heat-treatment states (as tempered and as step cooled) were investigated by SEM, EBSD, XRD, TEM, and APT. The results show that both tempered steels show lath martensite microstructure. The increase in V content has no obvious effect on the carbide type (M23C6, M2C and MC) and size, but promotes the precipitation of more and finer V-riched carbides MC, which refines the prior austenite grain size of the 0.2V steel. The refinement of grain size and precipitation of finer MC carbides increase the yield strength of the 0.2V steel by 147 MPa through grain refining strengthening and precipitation strengthening. After step cooling heat-treatment, the microstructures and the type of carbides in both steels remain stable and the size of carbide grows slightly. Meanwhile, the yield strength of them shows a slight decrease due to the carbide coarsening. As for 0.2V steel, the mobility of dislocations decreases due to precipitation of more MC carbides, which induces the decrease in critical stress σf of crack propagation and promotes the tendency of crack initiation and propagation. Therefore, compared with that of 0.1V steel, the fracture appearance transition temperature of 0.2V steel increases by 21 ℃.

      • 0+1
      • 1+1
      • 2+1
      • 3+1
      • 4+1
      • 5+1
      • 6+1
      • 7+1
    • Influence of Electron Beam Melting on Distribution of Inclusions in DZ125 Superalloy Revert

      2025, 54(5):1229-1234. DOI: 10.12442/j.issn.1002-185X.20230817

      Abstract (128) HTML (112) PDF 4.38 M (315) Comment (0) Favorites

      Abstract:Due to the large proportion of the inclusions, it''s hard to remove the inclusions such as hafnium oxide in the cast superalloy containing hafnium. In this research, DZ125 superalloy revert was melted by high energy electron beam to remove refractory inclusion, and the composition, microstructure and distribution of slag collected from different positions after electron beam melting were analyzed. The results show that the surface of the final zone of the ingot mainly contains large-sized oxide inclusions and MC carbides, no oxide inclusions are found in different positions inside the ingot, and large-sized HfO2 is found in the slag in the hearth. The high energy electron beam has a stirring effect on the molten pool, which makes a large number of HfO2 and Al2O3 gather together and float to the surface of the ingot under the action of the electron beam, so the refractory oxide inclusion in the revert can be effectively removed.

      • 0+1
      • 1+1
      • 2+1
      • 3+1
      • 4+1
      • 5+1
    • Effect of Heat Treatment on Selective Laser Melting Formed Ti-6Al-4V Titanium Alloy with High Layer Thickness

      2025, 54(5):1235-1244. DOI: 10.12442/j.issn.1002-185X.20230818

      Abstract (78) HTML (140) PDF 9.85 M (404) Comment (0) Favorites

      Abstract:Increasing the layer thickness can significantly improve the preparation efficiency of selecting laser melting formed Ti-6Al-4V. However, it leads to lower forming quality in comparison to the alloy with low layer thickness. Annealing heat treatment can improve the ductility of titanium alloy prepared by selective laser melting, but the effect of annealing heat treatment on the sample with high layer thickness is not clear. In this research, the Ti-6Al-4V with high layer thickness was fabricated by selective laser melting. The 700 and 950 ℃ were set as annealing heat treatment temperatures, and the effects of heat treatment on the microstructure and properties of Ti-6Al-4V were investigated. The results reveal that the preparation of samples can achieve good forming quality when the scanning speed ranges from 600 mm/s to 800 mm/s. After annealing at 700 and 950 ℃, the microstructure of the samples transforms from acicular martensite to lath martensite. The β phase can be observed after heat treatment at 950 ℃. The changes in compression performance are influenced by the microstructure. The ultimate compressive strength of the prepared sample with a scanning speed of 600 mm/s is 1593 MPa, and the maximum fracture strain is 15.1%. After annealing heat treatment, the ultimate compressive strength decreases to 1359 MPa and the maximum fracture strain increases to 22.2%. The fracture mode changes from brittle fracture to ductile-brittle fracture.

      • 0+1
      • 1+1
      • 2+1
      • 3+1
      • 4+1
      • 5+1
      • 6+1
      • 7+1
      • 8+1
      • 9+1
      • 10+1
    • Effect of Zn Element on Microstructure and Mechanical Properties of As-Cast Mg-Bi-Sn Alloys

      2025, 54(5):1245-1253. DOI: 10.12442/j.issn.1002-185X.20230815

      Abstract (118) HTML (143) PDF 5.73 M (407) Comment (0) Favorites

      Abstract:To reveal the effect of Zn element on the microstructure and mechanical properties of Mg-Bi-Sn alloy, Mg-3Bi-5Sn-xZn (x=0, 1, 2, 3, wt%) alloys were prepared by casting. Using OM, SEM, XRD, EPMA, Vickers hardness tester and tensile testing machine, the effect of Zn element on the microstructure and mechanical properties of Mg-3Bi-5Sn (BT35) alloy was studied. The experimental results show that Zn element can significantly reduce the grain sizes of BT35 alloy. With the increase in Zn content, the grain size of BT35 alloys decreases significantly at first and then increases slightly, among which Mg-3Bi-5Sn-2Zn (BTZ352) alloy has the smallest grain size (58.2 μm). In addition, there are two kinds of second phases, Mg3Bi2 and Mg2Sn, observed in BT35 alloys, and additional Mg2Zn phase and BiSn phase can be detected in the microstructure after adding Zn element. When the addition of Zn element is less than 3wt%, the tensile strength and elongation of the alloy firstly increase and then decrease slightly. Among them, BTZ352 alloy shows the best mechanical properties with the tensile strength and elongation of 263.5±6.0 MPa and 13.2%±0.6%, respectively; and the fracture microstructure of BTZ352 alloy exhibits typical transgranular fracture characteristics.

      • 0+1
      • 1+1
      • 2+1
      • 3+1
      • 4+1
      • 5+1
      • 6+1
      • 7+1
      • 8+1
    • Study on Hot Upsetting and Microstructure of Ti-1500 Alloy Fastener

      2025, 54(5):1254-1260. DOI: 10.12442/j.issn.1002-185X.20230828

      Abstract (72) HTML (138) PDF 2.69 M (348) Comment (0) Favorites

      Abstract:The microstructure of Ti-1500 alloy in three deformation zones at different hot upsetting temperatures was comparatively analyzed through hot upsetting experiments. The results show that the hot upsetting process has a significant influence on the microstructure evolution, and the higher the hot upsetting temperature and the larger the deformation degree, the more obvious the regional dynamic recrystallization. Specifically, dynamic recrystallization does not occur in deformation zone Ⅰ and deformation zone Ⅱ at 700 ℃, but obvious recrystallization occurs in deformation zone Ⅲ, αβ phase transformation occurs at 820 ℃, obvious dynamic recrystallization occurs in all three deformation zones, and the recrystallized grains grow excessively at 900 ℃. During upsetting at 700 ℃, the {001}//ND texture is formed in the deformation zone Ⅰ. With the increase in deformation degree, the direction of grains in the deformation zone Ⅱ gradually changes to the directions of <001> and <111>, finally the {001} texture with higher strength and more volume fraction is formed, and a part of the {111}//ND texture is formed. When the deformation amount increases and influences the deformation zone Ⅲ, recrystallization forms new grains with <001> orientation, and the boundaries of <001> oriented grains migrate to those of <111> oriented grains, which leads to the further increase of {001} texture strength and volume fraction, while the volume fraction of {111} texture decreases. And the texture type, texture strength and texture evolution law at 820 and 900 ℃ are consistent with those at 700 ℃.

      • 0+1
      • 1+1
      • 2+1
      • 3+1
      • 4+1
      • 5+1
      • 6+1
      • 7+1
    • Relationship Between Phase Transformation and Hot Crack Sensitivity in the Solidification of High Carbon Nickel-Based Superalloy

      2025, 54(5):1261-1272. DOI: 10.12442/j.issn.1002-185X.20230832

      Abstract (141) HTML (264) PDF 12.13 M (325) Comment (0) Favorites

      Abstract:This study investigated the complex evolution of precipitates during the solidification of high-carbon nickel-based superalloy ingots, exploring the relationship between phase transformation and hot cracking sensitivity during solidification. The causes of hot crack sensitivity in ingots were identified using optical microscopy, scanning electron microscopy, and thermodynamic calculations. Differential scanning calorimetry and isothermal solidification experiments, combined with various structural analysis methods, were used to reveal the impact of phase transitions on hot crack sensitivity during solidification. The essence of high hot crack sensitivity due to the evolution of alloy solidification structure and its impact on mechanical properties were elucidated through zero-strength and zero-plasticity tests during solidification, along with thermal stress analysis. The solidification of the alloy produces complex precipitate phases. The significant enrichment of elements like Al, C, Ti, Co, Ni, Nb, and Mo in the liquid phase results in the formation of Laves phase and (γ+γ′) eutectic phase at lower temperatures. This leads to a slower rate during the final stage of solidification, with a solidification temperature range up to 151 ℃. The first principal stress experienced by ingots in the brittleness temperature range is influenced by the ingot size and casting process. The stress often exceeds the strength limit of the alloy, indicating a high tendency for hot crack in the alloy. This reveals the relationship between the solidification process of superalloy and the toughness and strength of the ingot, providing theoretical and practical guidance for controlling the tendency to crack during solidification.

      • 0+1
      • 1+1
      • 2+1
      • 3+1
      • 4+1
      • 5+1
      • 6+1
      • 7+1
      • 8+1
      • 9+1
      • 10+1
      • 11+1
      • 12+1
      • 13+1
    • Effect of Cerium Sulfate on Nickel Electrocrystallization Behavior and Grain Refinement of Sedimentary Layer

      2025, 54(5):1273-1282. DOI: 10.12442/j.issn.1002-185X.20230839

      Abstract (116) HTML (118) PDF 5.40 M (233) Comment (0) Favorites

      Abstract:This study investigated the effect of different concentrations of cerium sulfate Ce2(SO4)3 on the grain refinement of nickel deposition layers during the electrochemical deposition process in industrial electrolytes. The impact of different Ce2(SO4)3 concentrations on nickel electrodeposition behavior was analyzed using the linear sweep voltammetry (LSV) curve, cyclic voltammetry (CV) curve and chronoamperometry (CA) curve. The microstructure morphology and grain size of the deposition layers were analyzed using scanning electron microscopy and the preferred orientation and crystal structure were analyzed using X-ray diffraction. The results show that the addition of different concentrations of Ce2(SO4)3 to the industrial electrolyte leads to a negative shift in the starting deposition potential of nickel, an increase in cathode polarization degree, an increase in overpotential, a shortened nucleation relaxation time tm and an accelerated nucleation rate during nickel electrodeposition, resulting in grain refinement of the deposition layers. However, the addition of Ce2(SO4)3 does not modify the nucleation mechanism of nickel electrocrystallization, nor does it change the crystal structure of the nickel deposition layer, which still remains a face-centered cubic (fcc) structure. When 0.6 g/L Ce2(SO4)3 is added, the grain growth orientation is transformed from the (111) plane to a bidirectional preferred growth of the (111) and (220) planes. At this point, the grain distribution in the deposition layer is uniform, and the grains undergo obvious refinement.

      • 0+1
      • 1+1
      • 2+1
      • 3+1
      • 4+1
      • 5+1
      • 6+1
      • 7+1
    • Effect of Rare Earth Element Yttrium on Microstructure and Properties of Plasma Arc Welding Joints of Inconel 625 Superalloy

      2025, 54(5):1283-1290. DOI: 10.12442/j.issn.1002-185X.20230841

      Abstract (125) HTML (137) PDF 3.10 M (210) Comment (0) Favorites

      Abstract:Plasma welding technique was used to weld the nickel based superalloy Inconel 625 plate (100 mm×50 mm×4 mm) with yttrium (Y) metal powder. The samples were characterized by OM, SEM and mechanical properties test. The results show that the joint formation is optimal when the welding current is 95 A, the welding speed is 110 mm/min, the plasma gas flow is 3 L/min and the content of yttrium element is 0.3wt%. The microstructure of the weld zone is fine equiaxed crystal, and the finer and more uniform grains appear in the heat affected zone after adding yttrium element. A large amount of Laves phase, carbide phase (MC) and yttrium-rich phase (Y-riched) are precipitated in welded joints. With the increase in yttrium content, the tensile strength, yield strength and elongation of the joint increase first and then decrease. When the yttrium content is 0.3wt%, the tensile strength of the sample is the highest of 776.59 MPa, the yield strength is the highest of 595.68 MPa, and the elongation is the highest of 46.60%. The overall property of the sample is higher than that without adding rare earth. Both tensile and impact fractures are ductile fractures. When the yttrium content is 0%, the hardness of weld zone is the highest, and the hardness of weld zone decreases significantly after the addition of yttrium element.

      • 0+1
      • 1+1
      • 2+1
      • 3+1
      • 4+1
      • 5+1
      • 6+1
      • 7+1
      • 8+1
    • Quantitative Correlation Between Microstructure and Tensile Property of TC11 Titanium Alloy

      2025, 54(5):1291-1298. DOI: 10.12442/j.issn.1002-185X.20240009

      Abstract (161) HTML (220) PDF 4.80 M (422) Comment (0) Favorites

      Abstract:The microstructure characteristic parameters of TC11 titanium alloy during different heat treatments were quantitatively investigated, aiming at the lack of quantitative relationship between microstructure characteristic parameters and room temperature tensile properties of TC11 titanium alloy. The content of equiaxed α phase, grain size of equiaxed α phase, thickness of platelet α phase and aspect ratio of platelet α phase at different heat treatment temperatures were quantitatively characterized using image analysis software. Quantitative relationships among heat treatment temperature, quantitative microstructure parameters and room temperature tensile properties were established. And quantitative relationships between quantitative microstructure parameters and room temperature tensile properties were analyzed using a multivariate nonlinear regression model. The results indicate that the microstructure of TC11 titanium alloy depends on the heat treatment regime. For every 10 ℃ increment in solid solution temperature, the content of the equiaxed α phase decreases by about 4.6%. For every 10 ℃ increment in aging temperature, the thickness of platelet α phase increases by about 0.05 μm. Experimental and statistical analyses show that with the decrease in the content of the equiaxed α phase, the strength of TC11 titanium alloy firsthy decreases and then increases, and the plasticity firsthy increases and then decreases. The grain size of the equiaxed α phase has a small effect on the room temperature tensile properties of the alloy. The increase in platelet α phase thickness increases the strength of the alloy. The correlation between alloy plasticity and platelet α phase thickness ia relatively small. With the decrease in the aspect ratio of platelet α phase, the strength of the alloy firstly decreases and then increases, and the plasticity increases. The relationship between microtissue characteristics and room temperature tensile properties conform to the multivariate monlinear regression model.

      • 0+1
      • 1+1
      • 2+1
      • 3+1
      • 4+1
      • 5+1
      • 6+1
    • Effect of Hot Isostatic Pressing and Heat Treatment on Microstructure and Properties of K4169 Superalloy

      2025, 54(5):1299-1306. DOI: 10.12442/j.issn.1002-185X.20240022

      Abstract (145) HTML (194) PDF 6.99 M (230) Comment (0) Favorites

      Abstract:The microstructure and properties of K4169 alloy after hot isostatic pressing (HIP), HIP+homogenization+solution aging (N1) and homogenization+HIP+solution aging (N2) were investigated. Results show that after HIP, the Laves phase is transformed into carbides, and the dendritic segregation and pore defects are eliminated. The γ″ strengthening phase sizes of N1 and N2 samples are 70.71 and 106.76 nm, respectively. The N2 sample precipitates a large amount of δ phase due to the enrichment of element Nb at the grain boundary after HIP. The HIP process improves the tensile properties of K4169 alloy at room temperature and 700 ℃. The rupture life of N1 and N2 samples at 650 ℃/620 MPa is 205.88 and 36.87 h, respectively. In the tensile test, the carbide is broken into micropores due to stress concentration, and the cracks are initiated and propagated from the micropores. In the creep rupture test, the crack is propagated along the grain boundary, and the precipitated δ phase is separated from the matrix under the action of stress to produce micropores, thus weakening the grain boundary and reducing the creep rupture property of the alloy.

      • 0+1
      • 1+1
      • 2+1
      • 3+1
      • 4+1
      • 5+1
      • 6+1
      • 7+1
    • Preparation and Electrochemical Properties of LiAl0.03Co0.03Mn1.94O4 Cathode Material with High-Rate Capacity

      2025, 54(5):1307-1316. DOI: 10.12442/j.issn.1002-185X.20240034

      Abstract (108) HTML (137) PDF 6.82 M (346) Comment (0) Favorites

      Abstract:The rapid capacity decay of spinel LiMn2O4 is attributed to the occurrence of Jahn-Teller distortion and Mn dissolution, which restricts commercial application. Herein, a low temperature solid state combustion method was employed to synthesize various LiAl0.03CoxMn1.97-xO4 (x≤0.08) cathode materials. The results show that Al-Co co-doping reduces the surface energy barrier of truncated octahedral {111}, {100} and {110} crystal faces, increases the heterogeneous nucleation, promotes the development of truncated octahedral crystals, reduces Mn dissolution and widens the Li+ diffusion channels. The optimal LiAl0.03Co0.03Mn1.94O4 cathode material has a single-crystal particle morphology of completely truncated octahedron and its average Mn valence increases from +3.5 to +3.545, thereby effectively inhibiting Jahn-Teller distortion, stabilizing the crystal structure, and improving the high-rate performance and long-cycle life of the material. At 5 and 10 C, it delivers the first discharge capacities of 108.6 and 104.9 mAh/g with the high capacity retentions of 70.4% and 75.5% after 2000 long cycles, respectively. At a higher rate of 20 C, it shows a low-capacity fade of 9.3% after 500 cycles. The LiAl0.03Co0.03Mn1.94O4 material has a low apparent activation energy (22.84 kJ/mol) and a relatively high Li+ diffusion coefficient (5.47×10-16 cm2/s), indicating that it has a good lithium-ion migration kinetics.

      • 0+1
      • 1+1
      • 2+1
      • 3+1
      • 4+1
      • 5+1
      • 6+1
      • 7+1
    • Study on Interface Reaction Between Nickel-Based Superalloy Melt Containing Rare Earth Elements and Al2O3 Ceramic Crucible

      2025, 54(5):1317-1327. DOI: 10.12442/j.issn.1002-185X.20230833

      Abstract (112) HTML (144) PDF 7.48 M (312) Comment (0) Favorites

      Abstract:To elucidate the reaction mechanism between the nickel-based superalloy melt containing and Al2O3 rare earth elements Y La ceramic crucible during the preparation process of components, in-situ drop-solution method was employed to study the interface reaction between the superalloy melt containing Y and La and the Al2O3 ceramic crucible at 1550 ℃. Results indicate that following the occurrence of interface reactions between the superalloy melt containing rare earth elements and the Al2O3 ceramic crucible, the surface quality of the alloy is favorable, with almost no adhesion of reaction products. When the alloy contains only Y, Y element reacts with Al2O3 to produce intermediate product Y2O3, which subsequently continues to react to form Y3Al5O12. Additionally, a small amount of Hf element reacts with Al2O3 to generate HfO2. When the alloy contains only La, La element reacts with Al2O3 to generate LaAlO3. La element inhibits the participation of Hf element in the interface reaction, and there is no generation of HfO2. However, when the alloy simultaneously contains Y and La, due to the higher reactivity of Y element, Y preferentially reacts with Al2O3 over La element, forming Y3Al5O12. As a result, the reaction between La element and Al2O3 is suppressed, effectively reducing the burning loss of La element.

      • 0+1
      • 1+1
      • 2+1
      • 3+1
      • 4+1
      • 5+1
      • 6+1
      • 7+1
      • 8+1
      • 9+1
      • 10+1
    • Effect of Zn2+ Vacancies on the Electrocatalytic Performance of D-CoFeZn LDH for Water Splitting

      2025, 54(5):1328-1334. DOI: 10.12442/j.issn.1002-185X.20240035

      Abstract (158) HTML (167) PDF 6.52 M (269) Comment (0) Favorites

      Abstract:In this experiment, CoFeZn layered double hydroxide (LDH) was grown on the surface of foam nickel by hydrothermal method with metal nitrate as the metal source, urea as the precipitator, and ammonium fluoride as the structure directing agent. LDH (D-CoFeZn) with Zn2+ vacancy defect was obtained by alkaline etching. The effects of alkaline etching treatment and Zn content on the performance of electrocatalytic hydrogen evolution reaction (HER) and oxygen evolution reaction (OER) were analyzed using a three-electrode system in 1 mol/L KOH aqueous solution. The results of morphology and structure show that both CoFe and CoFeZn LDHs are smooth nanorods, and alkaline etching results in the growth of smaller-sized nanosheets on the surface of CoFeZn LDH, but the valence states of the surface elements barely change. The electrochemical results show that Zn2+ vacancy defects greatly enhance the HER and OER performance of the electrocatalyst. The optimized D-CoFeZn-1 can achieve a current density of 100 mA·cm-2 at only 224 mV for the HER and 236 mV for the OER, making it suitable for the all water electrolysis and superior to commercial catalysts in performance.

      • 0+1
      • 1+1
      • 2+1
      • 3+1
      • 4+1
    • Reactive Synthesis of W2B Alloy Powder Based on Mechanical Activation

      2025, 54(5):1335-1343. DOI: 10.12442/j.issn.1002-185X.20240104

      Abstract (75) HTML (197) PDF 3.76 M (346) Comment (0) Favorites

      Abstract:Using high-purity tungsten powder and amorphous boron powder as raw materials, high-purity W2B alloy powder was efficiently synthesized at low temperatures by mechanical activation combined with reactive synthesis. The effects of mechanical activation time on the morphology, particle size distribution, and specific surface area of the powders were investigated, and the relationship among phase composition, synthesis temperature, and reaction mechanism was elucidated. The results indicate that mechanical activation can effectively refine the particles, and the surface area and dislocation density of the powder increase with the prolongation of the mechanical activation time. The content of the W2B phase in the reaction-synthesized powder increases as the mechanical activation time increases. After 20 h of mechanical activation, the true density of the reaction-synthesized powder reaches 17.01 g/cm3, with the W2B phase content of 96wt%. This powder contains 23wt% more W2B phase compared to the powder without the mechanical activation reaction. During the reactive synthesis, the B atoms diffuse into the W matrix, resulting in the formation of the low-density WB phase. Mechanical activation introduces a significant number of dislocation defects, which creates a channel for atom diffusion and accelerates the transformation from the WB phase to the W2B phase.

      • 0+1
      • 1+1
      • 2+1
      • 3+1
      • 4+1
      • 5+1
      • 6+1
      • 7+1
      • 8+1
    • >Reviews
    • Research Progress of Structure Evolution and Superconducting Properties of Superconducting Thick Films in YBa2Cu3O7-x Coated Conductors

      2025, 54(5):1344-1352. DOI: 10.12442/j.issn.1002-185X.20240041

      Abstract (162) HTML (440) PDF 4.53 M (392) Comment (0) Favorites

      Abstract:REBa2Cu3O7-x(YBCO) high-temperature superconducting coated conductors (CCs), i.e. the second-generation high-temperature superconducting tapes, with excellent current carrying properties and mechanical behavior, are potentially applied in the fields of power, transportation, medical care, and military, receiving extensive attention from superconductor research teams in recent years. Increasing the thickness of the superconducting layer in CCs is facilitated to enhance the superconducting current transmission capability and to increase the engineering critical current density, thus being one of the major routes to reduce the cost of CCs. The "thickness effect", i.e. the critical current density (Jc) decreases with the increase in film thickness, mainly hinders the fabrication of high-quality superconducting thick films. This study introduced the preparation methods and epitaxial growth mechanism of YBCO thick films, discussed various factors that affect Jc and main ways to improve Jc, and summarized the latest research progress of YBCO thick films from major international teams.

      • 0+1
      • 1+1
      • 2+1
      • 3+1
      • 4+1
      • 5+1
      • 6+1
      • 7+1
      • 8+1
    • Research and Development in Property Control of NiTi Alloys Fabricated by Selective Laser Melting

      2025, 54(5):1353-1366. DOI: 10.12442/j.issn.1002-185X.20240801

      Abstract (114) HTML (1065) PDF 6.63 M (342) Comment (0) Favorites

      Abstract:NiTi shape memory alloy has a great potential application in aerospace and biomedical fields due to its excellent shape memory effect, superelasticity effect, good corrosion resistance and biocompatibility. However, the poor processability and weldability restrict its application. Selective laser melting as an advanced rapid forming technique can achieve integrated near-net shape formation of alloy parts, which is very suitable for the low-cost and rapid manufacturing of nickel-titanium alloy components with complex structures. In this paper, the research progress on the property control of NiTi alloys via the selective laser melting technique was summarized, and the influential factors and adjustment strategies of the phase transition behavior, mechanical properties and functional properties as well as the failure mechanism of NiTi shape memory alloy were also stated. Furthermore, the challenges and future research orientations of the NiTi alloy fabrication were prospected, providing reference for the life safety and health, and promoting the rapid development of medical-industrial interdisciplinary.

      • 0+1
      • 1+1
      • 2+1
      • 3+1
      • 4+1
      • 5+1
      • 6+1
      • 7+1
      • 8+1
      • 9+1
      • 10+1
      • 11+1
      • 12+1
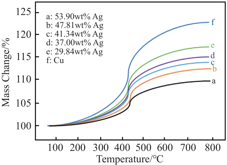
    • Research Progress on Preparation and Application of Silver-Coated Copper Powders

      2025, 54(5):1367-1376. DOI: 10.12442/j.issn.1002-185X.20240039

      Abstract (647) HTML (279) PDF 1.83 M (1379) Comment (0) Favorites

      Abstract:Silver-coated copper powder is a composite material in which silver is coated on the surface of copper. It has the potential to replace silver powder for making pastes, thus cost can be reduced. This paper described the preparation methods of silver-coated copper powder, including mechanical ball milling, melt atomization and chemical plating. Chemical plating has the advantages of simple equipment and low cost, and has become the most widely used method in industry. The principle and process of chemical plating were introduced, and the differences between displacement method and reduction method were compared. Furthermore, the coating mechanism of silver-coated copper powder was summarized. This paper also introduced the applications and progress of silver-coated copper powder in the fields of conductive adhesives, electromagnetic shielding coatings and conductive inks. The technical challenges of silver-coated copper powder were identified, the control model of thickness of coating layer was needed to reduce silver content while maintaining high oxidation resistance. This review can provide guidance for the preparation method and give a deep understanding on the coating mechanism of silver-coated copper powder.

      • 0+1
      • 1+1
      • 2+1
      • 3+1
      • 4+1
      • 5+1
      • 6+1
      • 7+1
    • Advance in Quality Control and In-Service Performance of Laser Welding for Magnesium Alloys in Automotive Applications

      2025, 54(5):1377-1396. DOI: 10.12442/j.issn.1002-185X.20250029

      Abstract (153) HTML (347) PDF 8.46 M (383) Comment (0) Favorites

      Abstract:Magnesium alloys hold tremendous potential for applications in automotive lightweighting, with reliable joining being one of the key technical issues for lightweight manufacturing. Laser welding is a suitable joining technology for the development of magnesium alloys due to its low heat input. However, the insufficient in-service performance for laser-welded joints of magnesium alloys, currently restricts their engineering applications. This paper summarizes the cutting-edge research progress in laser welding of magnesium alloys, with a focus concentrated on the intrinsic characteristics of laser welding of magnesium alloys and the influence of welding process parameters on the quality of welded joints. Meanwhile, taking into consideration the critical issues found in the cases of magnesium alloys for automotive utilization, the core influencing factors, regarding the service performance of laser-welded joints of magnesium alloys for automotive applications, are reviewed, and the prospect for future development is proposed.

      • 0+1
      • 1+1
      • 2+1
      • 3+1
      • 4+1
      • 5+1
      • 6+1
      • 7+1
      • 8+1
      • 9+1
      • 10+1
      • 11+1
      • 12+1
      • 13+1
      • 14+1

Current Issue


,Vol., Issue

Table of Contents

Search by Issue

Issue

Most Read

Most Cited

Most Downloaded