+Advanced Search
  • Volume 54,Issue 7,2025 Table of Contents
    Select All
    Display Type: |
    • >2025 Nuclear Materials
    • Mechanical Constitutive Model for Equivalent Solid of Fission Gas Bubbles in Irradiated U-10Mo Fuels

      2025, 54(7):1653-1660. DOI: 10.12442/j.issn.1002-185X.20240640

      Abstract (173) HTML (207) PDF 2.36 M (610) Comment (0) Favorites

      Abstract:The internal pressure within fission gas bubbles (FGBs) in irradiated nuclear fuels drives mechanical interactions with the surrounding fuel skeleton. To investigate the micromechanical stress fields in irradiated nuclear fuels containing pressurized FGBs, a mechanical constitutive model for the equivalent solid of FGBs was developed and validated. This model was based on the modified Van der Waals equation, incorporating the effects of surface tension. Using this model, the micromechanical fields in irradiated U-10Mo fuels with randomly distributed FGBs were calculated during uniaxial tensile testing via the finite element (FE) method. The macroscopic elastic constants of the irradiated U-10Mo fuels were then derived using homogenization theory, and the influences of bubble pressure, bubble size, and porosity on these constants were examined. Results show that adjacent FGBs exhibit mechanical interactions, which leads to distinct stress concentrations in the surrounding fuel skeleton. The macroscopic elastic constants of irradiated U-10Mo fuels decrease with increasing the macroscopic porosity, which can be quantitatively described by the Mori-Tanaka model. In contrast, bubble pressure and size have negligible effects on these constants.

      • 0+1
      • 1+1
      • 2+1
      • 3+1
      • 4+1
      • 5+1
      • 6+1
      • 7+1
      • 8+1
    • Microstructure and Properties of ZrC Nanoparticles- Strengthened WNiFe Alloys

      2025, 54(7):1661-1670. DOI: 10.12442/j.issn.1002-185X.20240635

      Abstract (132) HTML (182) PDF 5.19 M (585) Comment (0) Favorites

      Abstract:93W-4.9Ni-2.1Fe alloys strengthened by nanoscale ZrC particles were prepared by spark-plasma-sintering (SPS) and hot rotary swaging, separately. Results show that the addition of a small number of ZrC nanoparticles can refine grains and increase the hardness of the WNiFe alloys, but hinder the formation of the γ-(Ni, Fe) phase during SPS. SPSed WNiFe and WNiFe-ZrC alloys are brittle at room temperature, while the swaged WNiFe and WNiFe-0.5ZrC (wt%) alloys are ductile. At 400 °C, the swaged WNiFe-0.5ZrC alloy exhibits both higher tensile strength and better ductility than the swaged WNiFe. The nanoscale particles distributed in the W grains and γ-(Ni, Fe) phase provide a good pinning effect, which enhances the strength. The thermal conductivity of swaged WNiFe-0.5ZrC is only 71 W·m-1·K-1 at room temperature, but it increases to about 100 W·m-1·K-1 at 800 °C, which is close to that of pure W (121 W·m-1·K-1). These results show the potential of WNiFe alloys as plasma-facing materials in fusion reactor.

      • 0+1
      • 1+1
      • 2+1
      • 3+1
      • 4+1
      • 5+1
      • 6+1
      • 7+1
      • 8+1
      • 9+1
      • 10+1
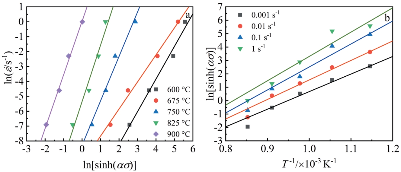
    • Hot Deformation Behavior and Processing Map of Zr-Sn-Nb-Fe-Cr Alloy

      2025, 54(7):1671-1677. DOI: 10.12442/j.issn.1002-185X.20240519

      Abstract (123) HTML (138) PDF 2.98 M (409) Comment (0) Favorites

      Abstract:The hot deformation characteristics of induction quenched Zr-Sn-Nb-Fe-Cr alloy forged rod in the temperature range of 600–900 °C and strain rate range of 0.001–1 s-1 were studied by Gleeble3800 uniaxial hot compression experiment. The results show that the flow stress decreases with the decrease in strain rate and the increase in deformation temperature in the true stress-true strain curve of Zr-Sn-Nb-Fe-Cr alloy forged rod. Moreover, the hot deformation characteristics of the material can be described by the hyperbolic sine constitutive equation. Under the experimental conditions, the average thermal activation energy (Q) of the alloy was 412.9105 kJ/mol. The microstructure analysis of the processing map and the sample after hot compression shows that the optimum hot working parameters of the alloy are 795–900 °C, 0.001–0.0068 s-1, at the deformation temperature of 600–900 °C, and the strain rate of 0.001–1 s-1.

      • 0+1
      • 1+1
      • 2+1
      • 3+1
      • 4+1
      • 5+1
      • 6+1
      • 7+1
      • 8+1
      • 9+1
      • 10+1
      • 11+1
    • Effect of Ar+ Irradiation on the Microstructure and Corrosion Resistance of Zr-4 Alloy

      2025, 54(7):1741-1754. DOI: 10.12442/j.issn.1002-185X.20240771

      Abstract (128) HTML (139) PDF 23.10 M (825) Comment (0) Favorites

      Abstract:Zirconium alloys used as nuclear fuel cladding materials are subjected to neutron irradiation inside the reactor, which affects their corrosion resistance. Ion irradiation can be used to simulate neutron irradiation to study the effect of irradiation on corrosion behavior. In this study, the Zr-4 plate was irradiated with Ar+ at 360 ℃ with an electrostatic accelerator. The unirradiated and 5 dpa irradiated samples were corroded in 360 ℃/18.6 MPa/3.5 μL/L Li+1000 μL/L B aqueous solution and 400 ℃/10.3 MPa super-heated steam for 300 d. The microstructure of the samples was characterized by SEM and TEM. Results show that the Zr(Fe,Cr)2 second-phase particles in the unirradiated samples have hexagonal close-packed structures, whose Fe/Cr atomic ratio is in the range of 1.8–2.0, and the second-phase particles are amorphized after irradiation. Under the two corrosion conditions, during the corrosion process of the irradiated damage zone in the alloy matrix, the oxide film thickness of the irradiated samples is smaller than that of the unirradiated samples, indicating that Ar+ irradiation can enhance the corrosion resistance of Zr-4 to a certain extent. However, once the irradiated damage zone is fully oxidized, as corrosion proceeds, the oxide film thickness of the irradiated samples becomes greater than that of the unirradiated samples, suggesting that the oxide film formed in the irradiated damage zone facilitates the diffusion of oxidative ions, accelerating the corrosion of Zr-4. The influence of irradiation on the corrosion resistance of Zr-4 at different stages is discussed from the perspectives of microstructure evolution and stress accumulation in the oxide film induced by irradiation-induced defects.

      • 0+1
      • 1+1
      • 2+1
      • 3+1
      • 4+1
      • 5+1
      • 6+1
      • 7+1
      • 8+1
      • 9+1
      • 10+1
      • 11+1
      • 12+1
      • 13+1
      • 14+1
      • 15+1
    • Effect of Ar+ Irradiation on Microstructure and Corrosion Resistance of Zr-Sn-Nb Alloy

      2025, 54(7):1755-1767. DOI: 10.12442/j.issn.1002-185X.20240737

      Abstract (125) HTML (121) PDF 19.94 M (585) Comment (0) Favorites

      Abstract:Irradiation can induce the formation of a large number of defects in the matrix and oxide film of zirconium alloys, thereby facilitating the migration and diffusion of O2- and corrosive media and accelerating the corrosion of zirconium alloys. To investigate the influence of irradiation on Zr-Sn-Nb alloys, Ar+ was implanted into the alloys at an irradiation in fluence of 5.1×1015 ions/cm2. The original and irradiated samples were subjected to corrosion tests in an aqueous solution of 360 ℃/18.6 MPa/3.5 μL/L Li+1000 μL/L B (alkaline water) and in steam at 400 ℃/10.3 MPa (neutral water), separately. The microstructure and the effect of Ar+ irradiation on the corrosion resistance of Zr-Sn-Nb alloys in different corrosion environments were analyzed by XRD, SEM, and TEM. The results indicate that irradiation can lead to the amorphization of the second phase particles, among which the hcp-Zr(Fe,Nb)2 second phase is more likely to form an amorphous state phase than the bcc-β-Nb second phase. Furthermore, the second phase undergoes amorphization at the same time with element diffusion, and during the oxidation process of the second phase, it experiences lattice mismatch with the oxide film, resulting in cracks extending from the top of the second phase to its sides. Within 300 d, the damage dose of Ar ion irradiation at 5 dpa has little effect on the corrosion resistance of Zr-Sn-Nb alloys in the aqueous solution of 3.5 μL/L Li+1000 μL/L B. In contrast, in steam at 400 ℃/10.3 MPa, the stress relaxation during the irradiation process results in a reduction in defects, which subsequently slows down the oxygen diffusion within the oxide film and decelerates the corrosion process. Therefore, irradiation has a certain improving effect on the corrosion resistance of zirconium alloys.

      • 0+1
      • 1+1
      • 2+1
      • 3+1
      • 4+1
      • 5+1
      • 6+1
      • 7+1
      • 8+1
      • 9+1
      • 10+1
      • 11+1
      • 12+1
      • 13+1
      • 14+1
      • 15+1
      • 16+1
      • 17+1
      • 18+1
      • 19+1
      • 20+1
      • 21+1
      • 22+1
      • 23+1
      • 24+1
      • 25+1
      • 26+1
      • 27+1
    • Transient High Heat Load Resistance Performance of Rolled Chemical Vapor Deposition Tungsten

      2025, 54(7):1768-1776. DOI: 10.12442/j.issn.1002-185X.20240715

      Abstract (162) HTML (130) PDF 10.07 M (729) Comment (0) Favorites

      Abstract:The high heat load in nuclear fusion reactors constantly threatens the service safety of plasma-facing materials. Developing new tungsten materials resistant to transient thermal shock is crucial for advancing the application of fusion energy. This study breaks through the traditional commercial tungsten material preparation process of powder metallurgy billet and hot processing, and proposes an innovative process: first, billets are prepared via chemical vapor deposition (CVD), and then cross rolling is carried out. This process aims to prepare tungsten materials with superior performance. The microstructure, thermal conductivity, mechanical properties, and electron beam thermal shock of new and traditional tungsten materials with different rolling deformation rates were tested. The results indicate that tungsten with a low rolling deformation rate has <100>∥ND texture and exhibits high thermal conductivity. At the same time, the proportion of small angle grain boundaries between the grains of the material is as high as 78.8%, which lead to good comprehensive mechanical properties in the high temperature zone. Good thermal conductivity and mechanical properties result in a transient thermal shock cracking threshold of 0.44–0.55 GW/m2, significantly exceeding that of traditional materials.

      • 0+1
      • 1+1
      • 2+1
      • 3+1
      • 4+1
      • 5+1
      • 6+1
    • Modeling of Fission Gas Irradiation Swelling for UO2 Fuel in Pressurized Water Reactor Based on Rate Theory

      2025, 54(7):1777-1784. DOI: 10.12442/j.issn.1002-185X.20240711

      Abstract (98) HTML (115) PDF 1.05 M (627) Comment (0) Favorites

      Abstract:The irradiation swelling caused by fission gas can promote UO2 fuel-cladding contact and reduce fuel thermal conductivity, which is a key behavior affecting fuel element performance. A fission gas irradiation swelling model for different burn-up ranges was established based on rate theory. The model first proposed control equations for intragranular gas, intergranular gas, and point defects under low burn-up. Then the control equations for intragranular gas considering grain subdivision and non-equilibrium growth of grain boundary pores under high burn-up were given. Finally, a model for coalescence and coarsening of grain boundary pores was established. On this basis, COMSOL software was used to solve the control equations. The model was preliminarily validated by experimental data. Results show that the predicted bubble size and porosity are in good agreement with the experimental results.

      • 0+1
      • 1+1
      • 2+1
      • 3+1
      • 4+1
      • 5+1
    • Effect of Si Content on Microstructure and Mechanical Properties of Niobium-Stabilized Austenitic Stainless Steel

      2025, 54(7):1785-1795. DOI: 10.12442/j.issn.1002-185X.20240642

      Abstract (132) HTML (149) PDF 14.84 M (560) Comment (0) Favorites

      Abstract:The microstructure, tensile properties, and impact toughness of niobium-stabilized austenitic stainless steel with Si content of 0.076wt%–3.80wt% were characterized by OM, SEM, and TEM. The results show that variations in Si content exert minimal influence on grain size and primary NbC, and the formation of δ-ferrite is promoted as the Si content reaches 3.80wt%. The planar slip of dislocation is the dominant deformation mechanism of the three steels, and deformation-induced martensitic transformation is induced by the high local plastic strain in the slip band. The increase in Si content promotes the planar slip of dislocation, and the local plastic strain in the slip band is decreased, resulting in the suppression of the deformation-induced martensitic transformation. As a consequence, the transformation from massive martensite to fine lath martensite is promoted with the increase in Si content. The enhancement effect of Si addition on the tensile strength is due to the secondary strain hardening, which is caused by dislocation plane slip and deformation induced martensitic transformation. However, the increased probability of secondary crack formation at the NbC/austenite interface leads to the decrease in elongation. The increase in Si content reduces impact toughness. The decrease in slip band spacing can increase the nucleation sites of void, resulting in a decrease in crack initiation energy. At the same time, the increase in the number of martensite/austenite interfaces leads to a decrease in crack propagation energy.

      • 0+1
      • 1+1
      • 2+1
      • 3+1
      • 4+1
      • 5+1
      • 6+1
      • 7+1
      • 8+1
      • 9+1
      • 10+1
      • 11+1
      • 12+1
    • Interaction of Dislocations and Helium-Induced Defects in Ti-5331 Alloy

      2025, 54(7):1796-1801. DOI: 10.12442/j.issn.1002-185X.20240641

      Abstract (115) HTML (141) PDF 2.10 M (448) Comment (0) Favorites

      Abstract:The interaction between dislocations and helium-induced defects in Ti-5331 alloy with different cold rolling deformations (0%, 10%, 25%), and the retention behavior of helium in the alloy were investigated by positron annihilation spectroscopy (PAS), transmission electron microscopy (TEM), and grazing incidence X-ray diffraction (GIXRD). The results show that the dislocations generated by deformation in Ti-5331 alloy hinder the diffusion of injected helium atoms into the alloy. Moreover, a large number of vacancy defects generated by irradiation in the alloy form helium vacancy complexes with helium atoms, which finally evolve into helium bubbles. The irradiation damage of the inner layer of Ti-5331 alloy after deformation is lower than that of the surface layer. Additionally, the helium desorption amounts of the alloy with deformations of 0%, 10%, and 25% are 1.576×1015, 1.894×1015, and 2.171×1015 ions/cm2, respectively, indicating that the larger the deformation, the more the helium retention in the alloy.

      • 0+1
      • 1+1
    • Experimental Research on High-Temperature Thermo-mechanical Behavior of Self-Developed New Type Zirconium Cladding Under Loss-of-Coolant Accident

      2025, 54(7):1802-1809. DOI: 10.12442/j.issn.1002-185X.20240727

      Abstract (81) HTML (108) PDF 4.76 M (493) Comment (0) Favorites

      Abstract:High-temperature thermo-mechanical experiments were conducted to investigate the behavior of self-developed new type zirconium cladding under loss-of-coolant accident (LOCA) conditions, including high-temperature oxidation, high-temperature creep, high-temperature burst, and embrittlement experiment. Results show that the high-temperature oxidation rate of self-developed new type zirconium cladding is comparable to that of ZIRLO, M5, and Zr-4 cladding when the oxidation temperature exceeds 1000 °C, which can be estimated by Cathcart-Pawel model. Notably, the self-developed new type zirconium cladding exhibits significantly lower high-temperature creep-burst strain than M5 and Zr-4 cladding, which can decrease fuel assembly blockage during LOCA, thus contributing to a more favorable outcome in LOCA analysis. Additionally, the embrittlement criteria of the self-developed new type zirconium cladding meet the requirements of a peak cladding temperature of ≤1204 ℃ and the maximum cladding oxidation rate of ≤17%.

      • 0+1
      • 1+1
      • 2+1
      • 3+1
      • 4+1
      • 5+1
      • 6+1
      • 7+1
      • 8+1
      • 9+1
      • 10+1
      • 11+1
    • Multi-scale Simulation of Influence of Fission Fragments on Zr Elastic Modulus

      2025, 54(7):1810-1816. DOI: 10.12442/j.issn.1002-185X.20240229

      Abstract (94) HTML (103) PDF 1.30 M (556) Comment (0) Favorites

      Abstract:Based on first-principles, phase field method, and elastic self-consistent theory, the influence of fission fragments on the Zr elastic modulus was analyzed through the multi-scale simulation. This research revealed the influence of the fission fragment elements and irradiation voids on the Zr elastic modulus. Results show that the fission fragment Xe dissolves in Zr matrix can reduce the elastic modulus, while the effect of irradiation voids on the elastic modulus is relatively small. Meanwhile, the quantitative relationship model was established between the elastic modulus (E) and the changes in irradiation damage dose (D) and temperature (T), . This work lays a technical foundation for the refined analysis of the mechanical properties of Zr alloys after irradiation.

      • 0+1
      • 1+1
      • 2+1
      • 3+1
    • Effect of Y on High Temperature Steam Oxidation Behavior of Fe13Cr5Al Alloy

      2025, 54(7):1817-1827. DOI: 10.12442/j.issn.1002-185X.20240278

      Abstract (96) HTML (111) PDF 6.54 M (561) Comment (0) Favorites

      Abstract:Two types of Fe13Cr5AlxY with x=0, 0.3 (wt%) alloys, denoted as 0Y and 0.3Y, respectively, were prepared in a vacuum non-consumable arc furnace and exposed in 1000 and 1200 ℃ steam for 2 h. The high temperature oxidation behavior of the alloys was studied by thermogravimetric analyzer with steam generator. The microstructure and composition of the oxide film before and after oxidation were analyzed by XRD, FIB/SEM, EDS, and TEM. Results show that the addition of Y can refine the grains of FeCrAl alloys and form the spherical or elliptical hcp-Al3Fe14Y2 second phase. The oxidation kinetics of the Fe13Cr5AlxY (x=0, 0.3, wt%) alloys oxidized in 1000 and 1200 ℃ steam for 2 h follows a parabolic growth law. The addition of Y can decrease the oxidation mass gain rate of the alloys. The oxide film of the two alloys is mainly composed of α-Al2O3 and a small amount of Fe oxide exists on the outside of oxide film. The second phase in the oxide film of 0.3Y alloy is oxidized into YAlO3, Fe2O3 and Fe(Cr, Al)2O4. The ridged oxide film is formed on the surface of 0Y alloy. The oxide film of the alloy peels off from the substrate under oxidation at 1200 ℃. The oxide film on 0.3Y alloy is smooth and has good adhesion to the matrix. Therefore, the formation of the ridged oxide film is inhibited by adding Y, which can reduce the oxidation mass gain rate and enhance the high-temperature steam oxidation resistance of the alloy.

      • 0+1
      • 1+1
      • 2+1
      • 3+1
      • 4+1
      • 5+1
      • 6+1
      • 7+1
      • 8+1
      • 9+1
      • 10+1
      • 11+1
      • 12+1
      • 13+1
      • 14+1
      • 15+1
    • Current Status and Development Trends of Artificial Intelligence in the Field of Nuclear Fuel and Materials

      2025, 54(7):1882-1894. DOI: 10.12442/j.issn.1002-185X.20240695

      Abstract (435) HTML (188) PDF 982.07 K (739) Comment (0) Favorites

      Abstract:With the rapid development of artificial intelligence (AI), its application in the field of nuclear fuel and materials is gradually becoming a new driving force for the advancement of nuclear energy technology. This article comprehensively reviews the current state of AI research in the field of nuclear fuel and materials and conducts an in-depth analysis of future development trends. It first introduces AI methods applied to scientific research, discussing from two aspects: network architecture and learning paradigms. Next it systematically summarizes the current state of AI applications in performance prediction at the material and structure levels of nuclear fuel materials, design optimization of materials and structures, and computer vision in fuel production and operation. The review then looks forward to the future development trends of the combination of AI with nuclear fuel and materials. At the algorithm level, it discusses methods to enhance the interpretability of machine learning models, quantify uncertainty, and the importance of limited supervised learning technology in reducing data requirements. At the application level, it discusses key technologies such as acceleration of multi-scale multi-physics field simulations, topological optimization and generative design, universal pre-trained models for nuclear material properties, and automated laboratories. Finally, several suggestions are proposed to further promote the application of AI in the field of nuclear fuel and materials.

      • 0+1
      • 1+1
    • Research Progress of High-Efficiency Solid-State Neutron Moderator Materials

      2025, 54(7):1895-1905. DOI: 10.12442/j.issn.1002-185X.20240633

      Abstract (144) HTML (206) PDF 1.56 M (515) Comment (0) Favorites

      Abstract:High efficiency solid-state neutron moderator materials are crucial component in micro-nuclear reactor. The main function of neutron moderator is to reduce the energy of neutrons produced by fission to a range that sustains further fission. Meanwhile, moderator materials are also one of the core structural materials in reactors. The application of high-temperature-resistant and efficient neutron moderator can help promote the development of miniaturization and mobility of micro nuclear reactors. Starting from the principle of moderators, several promising high-temperature resistant and efficient neutron moderators were summarized. The development prospects for different moderators were discussed, providing valuable guidance for subsequent researches and applications.

      • 0+1
      • 1+1
      • 2+1
      • 3+1
      • 4+1
      • 5+1
      • 6+1
      • 7+1
      • 8+1
      • 9+1
      • 10+1
    • >Special Issue:titanium alloy
    • Preparation of Ti-Al Alloys by Aluminothermic Reduction with MgF2 Addition

      2025, 54(7):1678-1686. DOI: 10.12442/j.issn.1002-185X.20240346

      Abstract (102) HTML (87) PDF 3.08 M (247) Comment (0) Favorites

      Abstract:The Ti-Al alloy was synthesized using the aluminothermic reduction of TiO2, with CaO and MgF2 serving as flux components. Investigations were conducted to ascertain the effects of MgF2 content on the alloy-slag separation, alloy microstructure, composition, phase constitution, overall alloy yield, and aluminothermic reduction of TiO2. Results indicate that MgF2 enhances the separation of the alloy from slag and promotes the formation of the TiAl phase within the alloy matrix. Nevertheless, an overabundance of MgF2 reduces the interfacial tension between the Al reductant and the slag, leading to significant loss of Al. This adversely affects alloy-slag separation, escalates the incorporation of oxide inclusions in the alloy, and severely reduces the recovery rate of alloy. Concurrently, the alloy has a phase transition from TiAl to Ti3Al. The optimum condition for alloy-slag separation and alloy integrity is realized at the MgF2 content of 10wt%. Kinetic analysis at this flux ratio determines the activating energy for the Al-TiO2-CaO-MgF2 system, which is 409.729 kJ/mol, and the order of kinetics is n=0.38.

      • 0+1
      • 1+1
      • 2+1
      • 3+1
      • 4+1
      • 5+1
    • Kinetics and Characteristics of Isothermal Constant Volume Hydrogen Desorption in TC21 Alloy

      2025, 54(7):1697-1705. DOI: 10.12442/j.issn.1002-185X.20240289

      Abstract (87) HTML (81) PDF 3.79 M (233) Comment (0) Favorites

      Abstract:Hydrogen desorption kinetics and characteristics, residual hydrogen content and activation energy of TC21 alloy were investigated by the constant volume method. Results show that hydrogen desorption temperature and initial hydrogen pressure affect hydrogen desorption characteristics of TC21 alloy. The hydrogen desorption process is mainly dominated by nucleation and growth process (kt=[-ln(1-α)]2/3), chemical reaction process (kt=(1-α)-1/2) and three-dimensional diffusion process (kt=[1-(1-α)1/3]1/2) when the hydrogenated TC21 alloy is dehydrogenated at temperatures of 700–940 °C. When the hydrogenated TC21 alloy releases hydrogen, the following relationship exists among the rate constants of each process: k (chemical reaction process)>k (nucleation and growth process)>k (three-dimensional diffusion process). The residual hydrogen content of the hydrogenated TC21 alloy after hydrogen desorption decreases gradually with the increase in hydrogen desorption temperature, and increases gradually with the increase in the initial hydrogen pressure. The activation energy of TC21 alloy in the process of hydrogen desorption is about 26.663 kJ/mol.

      • 0+1
      • 1+1
      • 2+1
    • Effect of Hot Deformation on α-Phase Precipitation and Mechanical Properties of Metastable β Titanium Alloy

      2025, 54(7):1706-1716. DOI: 10.12442/j.issn.1002-185X.20240316

      Abstract (127) HTML (93) PDF 5.21 M (310) Comment (0) Favorites

      Abstract:The effect of hot deformation on α-phase precipitation during the subsequent heat treatment, as well as the mechanical properties of TB18 Ti-alloy, was investigated. Results show that the round bar obtained by the dual-phase field forging of the cast ingot exhibits uniform composition distribution on its cross-section. However, various degrees of deformation are detected at different positions on the cross-section, which is attributed to the characteristics of the forging process. Under the forging condition, the microstructure is mainly composed of β-phase matrix and coarsened discontinuous primary α-phases. After solution and following artificial aging treatment, the primary α-phases disappear, while needle-like secondary α-phases precipitate in the matrix. Additionally, dispersed white zones are observed in the samples after aging, which are analyzed to be the precipitation-free zones of secondary α-phase. Despite a uniform compositional distribution among various regions, these dispersed white zones exhibit higher content and larger size in the positions that have undergone lower forging deformation. It indicates that the insufficient forging deformation inhibits the precipitation of the secondary α-phase, ultimately resulting in the lower strengthening effect by heat treatment. Thus, consistent with the characteristics of the forging process, a periodic variation of sample in strength is detected along the circumferential direction of the forged round bar.

      • 0+1
      • 1+1
      • 2+1
      • 3+1
      • 4+1
      • 5+1
      • 6+1
      • 7+1
      • 8+1
      • 9+1
      • 10+1
      • 11+1
      • 12+1
    • Effect of Heat Treatment on Microstructure and Mechanical Properties of High-Temperature Titanium Alloy Formed by Laser Selective Melting

      2025, 54(7):1828-1837. DOI: 10.12442/j.issn.1002-185X.20240099

      Abstract (106) HTML (176) PDF 6.26 M (286) Comment (0) Favorites

      Abstract:High temperature titanium alloy was prepared by selective laser melting (SLM). The effect of heat treatment on the microstructure and mechanical properties of the alloy was studied via OM, SEM, XRD and mechanical tensile. The results show that the metastable acicular martensite α′ is transformed into α phase and β phase after solid solution heat treatment. With the increase in solution temperature, the ratio of length to width of α phase decreases, and fracture occurs along the grain boundary and phase boundary, and some α phase breaks from strips to short rods or equiaxed grains. The tensile strength and yield strength of the formed alloy decrease gradually with the increase in heat treatment temperature, while the elongation increases. Different from the case of the solid solution state, the second phase appears in the microstructure of the alloy after aging heat treatment, which leads to a significant increase in tensile strength and yield strength at room temperature, accompanied by a decrease in elongation. The aging temperature has little effect on the tensile properties of the alloy at room temperature and high temperature. After the solution of 945 ℃/2 h/AC and aging heat treatment of 700 ℃/8 h/AC, the alloy demonstrates good comprehensive mechanical properties.

      • 0+1
      • 1+1
      • 2+1
      • 3+1
      • 4+1
      • 5+1
      • 6+1
      • 7+1
      • 8+1
      • 9+1
      • 10+1
      • 11+1
    • Preparation and Study of High-Strength and Wear-Resistant Titanium Alloys with “Hard Core-Strong Interface” at Moderate Temperature

      2025, 54(7):1838-1846. DOI: 10.12442/j.issn.1002-185X.20240108

      Abstract (117) HTML (141) PDF 5.02 M (316) Comment (0) Favorites

      Abstract:To improve the hardness and wear resistance of titanium (Ti), it is proposed to introduce TiB2 hard phase into pure Ti to accurately control the reaction process of the two components based on the discharge plasma sintering (SPS) technique, and to construct a TiB2-TiB-Ti "hard-core-strong-interface" structure in Ti matrix that inherits the diffusion path of B element. Finally, a high hardness of 863.5 HV5 at room temperature and 720.9 HV5 at 400 ℃ is obtained with the addition of 40% TiB2, which makes its friction performance better than that of commercial TC4 high-temperature titanium alloys under the same friction conditions in the temperature range from room temperature to 400 ℃. At the same time, thanks to its excellent bonding interface, the alloy also exhibits unique high-temperature and high-toughness properties, maintaining a high compressive strength of 1120 MPa and strain of about 11.7% at 400 ℃. The design idea of this study is inspiring and universal, which is expected to provide a new method for the research and development of new medium-high-temperature and high-toughness wear-resistant titanium alloys, and to promote the application of related materials in aerospace field.

      • 0+1
      • 1+1
      • 2+1
      • 3+1
      • 4+1
      • 5+1
      • 6+1
      • 7+1
    • >Materials Science
    • Dynamic Behavior, Energetic Characteristics, and Failure Mechanism of High-Density W-Zr-Ti Reactive Alloy

      2025, 54(7):1687-1696. DOI: 10.12442/j.issn.1002-185X.20240338

      Abstract (137) HTML (117) PDF 4.10 M (275) Comment (0) Favorites

      Abstract:A high-density tungsten-zirconium-titanium (W-Zr-Ti) reactive alloy was prepared by powder metallurgy. This alloy exhibits high density, high strength, and violent energy release characteristics, resulting in outstanding penetration and ignition abilities. Dynamic impact experiment demonstrated its strain rate hardening effect, and the energetic characteristics were investigated by digital image processing technique and thermal analysis experiment. The results show that W-Zr-Ti reactive alloy performs compressive strength of 2.25 GPa at 5784 s-1 strain rate, and its exothermic reaction occurs at about 961 K. Based on the explosion test and shock wave theory, thresholds of enhanced damage effect are less than 35.77 GPa and 5.18×104 kJ/m2 for shock pressure and energy, respectively. Furthermore, the transformation of fracture behavior and failure mechanism is revealed, which causes the increase in compressive strength and reaction intensity under dynamic loading.

      • 0+1
      • 1+1
      • 2+1
      • 3+1
      • 4+1
      • 5+1
      • 6+1
      • 7+1
      • 8+1
    • Effects of Ultrasonic Shot Peening on Surface Integrity and Corrosion Resistance of 6061-T6 Aluminum Alloy

      2025, 54(7):1717-1726. DOI: 10.12442/j.issn.1002-185X.20240334

      Abstract (99) HTML (82) PDF 4.07 M (281) Comment (0) Favorites

      Abstract:According to surface morphology, microhardness, X-ray diffraction, and static contact angle experiments, the changes in the surface integrity and corrosion resistance of 6061-T6 aluminum alloy after ultrasonic shot peening (USP) were investigated. Results show that the grain size of the material surface is reduced by 43%, the residual compressive stress has an increasing trend, the roughness and hardness are increased by approximately 211.1% and 35%, respectively. And the static contact angle is increased at first, followed by a slight decrease. Weighing, scanning electron microscope, and energy dispersive spectrometer were used to study the samples after a cyclic corrosion test. Results show that USP reduces the corrosion rate by 41.2%. A model of surface corrosion mechanism of USP is developed, and the mechanism of USP to improve the corrosion resistance of materials is discussed. The introduction of compressive residual stresses, grain refinement, increased grain boundaries, increased hardness, and increased static contact angle are the main factors related to the improvement of corrosion resistance in most materials, while increased roughness tends to weaken surface corrosion resistance.

      • 0+1
      • 1+1
      • 2+1
      • 3+1
      • 4+1
      • 5+1
      • 6+1
      • 7+1
      • 8+1
      • 9+1
    • Effect of GPLs on Grain Size of WC in WC-Co-GPLs Cemented Carbides: Refinement Mechanism

      2025, 54(7):1727-1732. DOI: 10.12442/j.issn.1002-185X.20240318

      Abstract (96) HTML (85) PDF 1.67 M (225) Comment (0) Favorites

      Abstract:The influence of graphene platelets (GPLs) on the WC grain size of WC-Co-GPLs cemented carbide prepared by low-pressure sintering was investigated. The role of GPLs in refining WC grains was explored by characterizing grain size and phase distribution. Results show that the addition of GPLs leads to significant grain refinement of WC and the more uniform distribution of WC grain size. When the content of GPLs is 0.10wt%, the average WC grain size in the cemented carbide is 0.39 μm, which is 32% lower than that in WC-Co. However, the shape of WC grains is almost unaffected, while the mean free path of Co decreases. The grain refinement of WC is attributed to the homogeneous distribution of GPLs between WC/WC and WC/Co grain boundaries, which hinders the solution and precipitation process of WC in liquid phase Co, as well as the migration and growth of WC grains. Additionally, GPLs can serve as heat transfer plates in materials to improve cooling efficiency, thus inhibiting the growth of WC grain.

      • 0+1
      • 1+1
      • 2+1
      • 3+1
      • 4+1
      • 5+1
    • Microstructure Evolution and Deformation Mechanism of DZ125 Ni-based Superalloy During High-Temperature Creep

      2025, 54(7):1733-1740. DOI: 10.12442/j.issn.1002-185X.20240279

      Abstract (102) HTML (98) PDF 1.61 M (246) Comment (0) Favorites

      Abstract:The microstructure evolution and deformation mechanism of a DZ125 superalloy during high-temperature creep were studied by means of microstructure observation and creep-property tests. The results show that at the initial stage of high-temperature creep, two sets of dislocations with different Burgers vectors move and meet in γ matrix channels, and react to form a quadrilateral dislocation network. And γ′ phases with raft-like microstructure are generated after the formation of dislocation networks. As creep progresses, the quadrilateral dislocation network is gradually transformed into hexagonal and quadrilateral dislocation networks. During steady stage of creep, the superalloy undergoes deformation with the mechanism that a great number of dislocations slip and climb in the matrix across the raft-like γ′ phases. At the later stage of creep, the raft-like γ′ phases are sheared by dislocations at the breakage of dislocation networks, and then alternate slip occurs, which distorts and breaks the raft-like γ′/γ phases, resulting in the accumulation of micropores at the raft-like γ′/γ interfaces and the formation of microcracks. As creep continues, the microcracks continue to expand until creep fracture occurs, which is the damage and fracture mechanism of the alloy at the later stage of creep at high temperature.

      • 0+1
      • 1+1
      • 2+1
      • 3+1
      • 4+1
      • 5+1
      • 6+1
      • 7+1
      • 8+1
    • Solidification Structure and Quasicrystal Regulation of Mg-Zn-Gd Casting Alloys

      2025, 54(7):1847-1856. DOI: 10.12442/j.issn.1002-185X.20240112

      Abstract (298) HTML (178) PDF 5.24 M (604) Comment (0) Favorites

      Abstract:The I phase (Mg3Zn6Gd, icosahedral quasicrystal phase) is widely considered as the strengthening phase in Mg-Zn-Gd system alloys, providing more significant improvements in the mechanical properties compared to the W phase (Mg3Zn3Gd2, cubic phase). However, both the W phase and the I phase typically coexist in the as-cast Mg-Zn-Gd alloy, thereby weakening its mechanical properties. There has been limited systematic research dedicated to investigating the crystallization mechanism of these phases during solidification. In this study, the equilibrium solidification and Scheil solidification paths of Mg-xZn-2Gd (x=0–12, wt%) alloys were calculated by Thermo-Calc software. The effects of cooling rate and alloy composition on the fraction of the I phase were studied. The results show that the equilibrium solidification structure of the alloy with a Zn/Gd atomic ratio of 6.0 only contains the I phase. In contrast, limited solute diffusion in the solid phase hampers the transformation of the W phase into the I phase during non-equilibrium solidification, forming a mixed structure composed of both the W phase and the I phase. The variation of cooling rate and alloy composition affects the solute enrichment rate in the Liquid during the solidification process of the primary α-Mg phase and alters the solute content and temperature of the residual Liquid when the secondary phase begins to crystallize, and influences the type and fraction of the secondary phase as determined by the solidification driving force. The increased solidification cooling rates and Zn/Gd atomic ratio inhibit the W phase and promote the formation of the I phase during Mg-Zn-Gd alloy preparation, resulting a higher proportion of the I phase in the alloy.

      • 0+1
      • 1+1
      • 2+1
      • 3+1
      • 4+1
      • 5+1
      • 6+1
      • 7+1
    • Effect of Granularity on Electrical Conductivity of Cold-Pressing Sintered Strontium Vanadate Bulks

      2025, 54(7):1857-1863. DOI: 10.12442/j.issn.1002-185X.20240114

      Abstract (75) HTML (72) PDF 7.74 M (341) Comment (0) Favorites

      Abstract:Kilogram-scale micro-nano SrVO3 powder was produced by the sol-gel method combined with hydrogen reduction and heat treatment. Then SrVO3 bulks were prepared by cold pressing and sintering the sifted powders using different mesh sizes (unsifted powder, 100 mesh, 200 mesh, and 300 mesh). The thermal stability of SrVO3 powder and bulks under air was investigated, and the effects of powder granularity sifting on granularity and distribution of their raw material, bulk grain size, and electrical conductivity were also evaluated. The results show that SrVO3 bulk has better thermal stability in air than SrVO3 powder; the temperature at which oxidative mass gain occurs is enhanced from 335 °C for the powder to 430 °C for the bulk. The mean particle size of the raw material powders decreases, the electrical conductivity of the related cold-pressing sintered bulks is significantly raised, and the conductivity of the powders rises with the increase in granularity sifting mesh. Granularity sifting can be used to acquire smaller and more uniform raw powder materials, which increases the density of the bulks produced by cold-pressing sintering. Furthermore, more effective routes for the conduction of electric charge are established and the conductivity of the prepared SrVO3 bulk reaches 20 000 S/cm, which is 37% higher than that of the bulk produced by unsifted powder. Granularity sifting is essentially the optimization of the particle size of the raw material. More sifting of the particle size of the SrVO3 powder is expected to yield improved performance of bulk material, providing the foundation for its use in transparent conductive films, semiconductor devices, sensors, and other areas.

      • 0+1
      • 1+1
      • 2+1
      • 3+1
    • Thermal Deformation Characteristics of Diffusion-Bonded Interface Region of GH4169 Alloy

      2025, 54(7):1864-1872. DOI: 10.12442/j.issn.1002-185X.20240118

      Abstract (89) HTML (98) PDF 4.01 M (252) Comment (0) Favorites

      Abstract:The thermal deformation behavior of the GH4169 alloy diffusion-bonded region was investigated using a Gleeble 3800 thermal-mechanical simulation test machine at deformation temperatures of 1213–1333 K with strain rates of 0.01–10 s-1. The results show that the "bond line" in the diffusion bonding region of GH4169 alloy can be effectively eliminated through thermal deformation. The evolution of the δ phase in the diffusion bonding interface region is affected by deformation conditions. When the deformation temperature is lower than the solution temperature of the δ phase, the residual spheroidized δ phase prevents the growth of recrystallization nucleation grains and affects the subsequent recrystallization process. The spheroidization degree of the δ phase can be enhanced by reducing the strain rate. When the deformation temperature exceeds the dissolution temperature of the δ phase, the dissolution of the δ phase creates an extra driving force for recrystallization, thereby significantly enhancing the extent of recrystallization. A hyperbolic sinusoidal Arrhenius constitutive equation with incorporating strain compensation was used to describe the correlation between flow stress and deformation conditions in the diffusion-bonded region of the GH4169 alloy. The calculated values of the constitutive equation agree with the experimental values. According to the dynamic model of the GH4169 alloy diffusion bonded region, the optimal processing parameters are determined as the deformation temperature between 1310–1333 K, and the strain rate between 0.01–0.05 s-1.

      • 0+1
      • 1+1
      • 2+1
      • 3+1
      • 4+1
      • 5+1
      • 6+1
      • 7+1
      • 8+1
      • 9+1
    • Effects of Hf Microalloying on Oxidation Behavior of K4800 Nickel-Based Superalloy

      2025, 54(7):1873-1881. DOI: 10.12442/j.issn.1002-185X.20240125

      Abstract (110) HTML (87) PDF 6.65 M (280) Comment (0) Favorites

      Abstract:The effect of Hf on high-temperature oxidation behavior of K4800 nickel-based superalloy was studied. The results show that the oxidation kinetics curves of K4800 and K4800+0.25Hf alloys obey parabolic law during thermostatical static oxidation at 800 and 850 ℃.However, the initial static oxidation rate of K4800+0.25Hf alloy (0.026 g/m2·h at 800 °C for 20 h and 0.061 g/m2·h at 850 °C for 20 h) is lower than that of K4800 alloy (0.041 g/m2·h at 800 °C for 20 h and 0.066 g/m2·h at 850 °C for 20 h). The oxide layer of the two experimental alloys consists of outer oxide layer and an inner oxide layer. The outer oxide layer primarily consists of dense Cr2O3, while the inner oxide layer mainly contains dendritic Al2O3. However, with the increase in Hf content from 0wt% to 0.25wt%, the thickness of the Cr2O3 outer oxide layer decreases from 2.71 μm to 2.17 μm after oxidation at 800 °C for 1000 h and from 5.83 μm to 4.09 μm after oxidation at 850 °C for 1000 h. The results of EPMA analysis indicate the formation of HfO2 at the grain boundary of the oxide layer in the K4800+0.25Hf alloy, promoting the formation of Al2O3 around HfO2 and accelerating the growth of Al2O3. The presence of Al2O3 and HfO2 at the grain boundary contributes to the reduction of the outward diffusion rate of Cr3+ and the delaying of thickening of the Cr2O3 oxide layer. Consequently, the trace addition of Hf enhances the oxidation resistance of the K4800 alloy.

      • 0+1
      • 1+1
      • 2+1
      • 3+1
      • 4+1
      • 5+1
      • 6+1
      • 7+1
      • 8+1
    • Research Progress in Electrochemical Synthesis and Purification of Rare Metal Alkoxides

      2025, 54(7):1906-1916. DOI: 10.12442/j.issn.1002-185X.20240129

      Abstract (135) HTML (77) PDF 7.20 M (331) Comment (0) Favorites

      Abstract:Rare metal alkoxides, as key precursors for gate dielectric materials in semiconductor chips, particularly involving the oxides of rare metals such as zirconium, hafnium, tantalum, and niobium, play a crucial role in high-tech fields. Although the traditional halide synthesis method for preparing alkoxides has been widely used, it has drawbacks such as complex processes and low yield. In contrast, electrochemical synthesis is gaining attention due to its simpler process and higher yield, offering significant cost advantages over traditional methods and enhancing the economic benefits for related enterprises. The review summaries our group, research over the past two decades on the electrochemical synthesis of zirconium, hafnium, tantalum, and niobium alkoxides was reviewed, including studies on the electrode reaction mechanisms, determination of process parameters, and physicochemical characterization of the products. The aim is to drive the optimization of the electro-synthesis technology for rare metal alkoxides, provide solid technical support to relevant enterprises, and accelerate the rapid development of integration of production, education, research, and application.

      • 0+1
      • 1+1
      • 2+1
      • 3+1
      • 4+1
      • 5+1
      • 6+1
      • 7+1
      • 8+1
      • 9+1
      • 10+1
      • 11+1

Current Issue


,Vol., Issue

Table of Contents

Search by Issue

Issue

Most Read

Most Cited

Most Downloaded