+高级检索
  • 2026年第55卷第1期文章目次
    全 选
    显示方式: |
    • >2026增材制造
    • 搅拌摩擦辅助电弧增材制造热力耦合过程的数值模拟

      2026, 55(1):1-8. DOI: 10.12442/j.issn.1002-185X.20250286

      摘要 (115) HTML (142) PDF 1.74 M (455) 评论 (0) 收藏

      摘要:电弧增材制造(WAAM)已成为大型构件成形制造的重要方法。但传统WAAM仍面临着如何改善材料微观组织、减少增材缺陷、降低工件残余应力和变形的问题,从而提升增材构件的力学性能。在WAAM过程中,进行层间搅拌摩擦处理可以调控构件的成形质量,但目前仍缺乏相关的热力耦合数值模拟研究。为此,建立了搅拌摩擦辅助WAAM热力耦合过程的数值模拟,定量分析了搅拌摩擦后处理对WAAM热力耦合过程的影响规律,分析了单层增材与多层增材过程中,搅拌摩擦处理对增材结构的残余应力与变形的影响规律。对WAAM和搅拌摩擦辅助WAAM不同沉积层的热过程进行分析。结果表明,进行后一层沉积会使已凝固的上一层发生局部重熔,而搅拌摩擦处理不会引起局部重熔。对增材构件进行热应力与变形分析,发现层间搅拌摩擦可以大大降低电弧增材构件的残余应力和翘曲变形,改善增材构件的性能。

      • 0+1
      • 1+1
      • 2+1
      • 3+1
      • 4+1
      • 5+1
      • 6+1
      • 7+1
      • 8+1
      • 9+1
      • 10+1
      • 11+1
      • 12+1
      • 13+1
      • 14+1
      • 15+1
      • 16+1
      • 17+1
      • 18+1
      • 19+1
      • 20+1
      • 21+1
      • 22+1
      • 23+1
    • 添加Er-TiB2双相纳米颗粒对激光粉末床熔融制备Al-Mn-Mg-Sc-Zr合金强度-韧性的影响

      2026, 55(1):9-17. DOI: 10.12442/j.issn.1002-185X.20250085

      摘要 (64) HTML (82) PDF 2.55 M (419) 评论 (0) 收藏

      摘要:采用双相协同增强的方法,利用Er和TiB2的特有优势对激光粉末床熔融(LPBF)制备的Al-Mn-Mg-Sc-Zr合金进行强化。采用真空均质技术制备了0.5wt% Er-1wt% TiB2/Al-Mn-Mg-Sc-Zr纳米复合材料的球形粉末,LPBF工艺制备的样品密度达到99.8%。探讨了Er-TiB2的强化机理和增韧机理。结果表明,XRD分析存在Al3Er衍射峰,EBSD结果显示双相纳米颗粒添加后合金织构强度下降。添加的Er和TiB2纳米增强相在LPBF形成过程中起非均相形核作用,阻碍晶粒长大,可有效细化晶粒。添加Er和TiB2双相纳米增强相后,LPBF成形样品的抗拉伸强度和延伸率分别达到550 MPa和18.7%,相较基体材料提高13.4%和26.4%。

      • 0+1
      • 1+1
      • 2+1
      • 3+1
      • 4+1
      • 5+1
      • 6+1
      • 7+1
      • 8+1
      • 9+1
      • 10+1
    • Nb添加对LPBF成形18Ni300模具钢拉伸和磨损性能的影响

      2026, 55(1):18-26. DOI: 10.12442/j.issn.1002-185X.20250031

      摘要 (54) HTML (69) PDF 4.58 M (445) 评论 (0) 收藏

      摘要:激光粉末床熔融(LPBF)技术凭借其制造复杂形状的卓越能力和调控微观结构的出色性能,在制备18Ni300模具钢方面极具优势,并且在注塑、压铸以及冲压模具等领域有着广泛应用。在模具钢中添加增强颗粒是提升其性能的有效手段。采用2种不同粒径的Nb粉末,利用LPBF技术制备了Nb/18Ni300复合材料,并对其微观结构和力学性能展开研究。结果显示,未熔Nb颗粒在基体中均匀分布且细化了基体晶粒,尤其是细粒径的Nb颗粒。此外,颗粒与基体间发生了元素扩散。18Ni300基体的主相为α-Fe和少量γ-Fe。添加Nb后,部分α-Fe转变为γ-Fe,并出现未熔Nb相。Nb的加入还提高了复合材料的硬度和耐磨性能,但略微降低了其拉伸性能。时效处理后,熔池和晶界变得模糊,晶粒进一步细化,颗粒周围的界面变薄。时效处理还促进了逆转奥氏体的形成。基础合金的硬度、极限抗拉伸强度以及体积磨损率分别达到51.9 HRC、1704 MPa和17.8×10?6 mm3/(N·m);相比之下,添加了细Nb颗粒的样品具有最大的硬度(56.1 HRC)、极限抗拉伸强度(1892 MPa)和屈服强度(1842 MPa),添加粗Nb颗粒样品的体积磨损率降低了90%,降至1.7×10?6 mm3/(N·m)。

      • 0+1
      • 1+1
      • 2+1
      • 3+1
      • 4+1
      • 5+1
      • 6+1
      • 7+1
    • 添加CNTs对激光粉末床熔融纯铜的微观结构和性能的影响

      2026, 55(1):27-34. DOI: 10.12442/j.issn.1002-185X.20240754

      摘要 (58) HTML (61) PDF 1.82 M (386) 评论 (0) 收藏

      摘要:激光粉末床熔融(LPBF)工艺制造铜通常表现出较差的强度-塑性配合,添加增强相是改善这种配合的有效方法。为了探究增强相对Cu的影响,以Cu-碳纳米(CNTs)混合粉末为基体,采用LPBF技术制备了Cu-CNTs复合材料,研究了其成形性能、微观结构、力学性能、导电性能和热性能。结果表明,所制备的复合材料具有较高的相对密度。CNTs的加入导致了熔池边缘等轴晶粒和中心柱状晶粒的不均匀。与纯铜相比,复合材料的整体力学性能得到改善(抗拉伸强度提高52.8%,伸长率提高146.4%),导电性能和热性能也得到提高(导热系数提高10.8%,电导率提高12.7%)。

      • 0+1
      • 1+1
      • 2+1
      • 3+1
      • 4+1
      • 5+1
      • 6+1
      • 7+1
      • 8+1
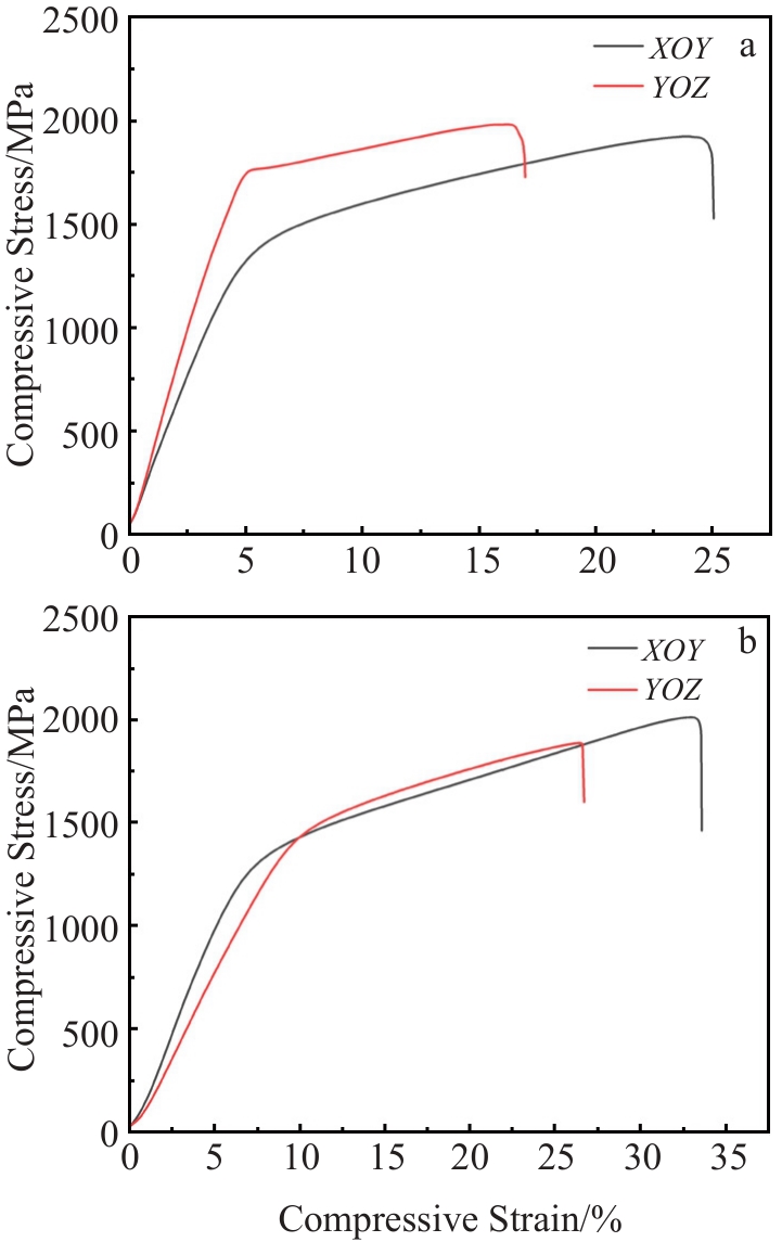
    • 选区激光熔化成形Ti-6Al-4V合金的力学各向异性

      2026, 55(1):35-46. DOI: 10.12442/j.issn.1002-185X.20240819

      摘要 (64) HTML (70) PDF 3.33 M (446) 评论 (0) 收藏

      摘要:为了阐明选择性激光熔化成形Ti-6Al-4V合金的各向异性,研究了合金不同方向对应试样的压缩力学性能、显微硬度、显微组织和晶体取向。分析了力学性能的各向异性,并利用EBSD技术分析了不同晶粒类型和取向对不同尺度应力应变分布的影响。结果表明,室温下,当应变率为10-3 s-1时,合金的抗压缩屈服强度和显微硬度随方向变化,呈现出各向异性。合金显微组织为柱状,沿沉积方向表现出等轴晶,其为内部致密六方(hcp)结构的α/α'马氏体结构。α'相择优取向近似<0001>。由于柱状晶长/宽比高,hcp织构弱,对称性差,导致了各向异性。

      • 0+1
      • 1+1
      • 2+1
      • 3+1
      • 4+1
      • 5+1
      • 6+1
      • 7+1
      • 8+1
      • 9+1
      • 10+1
      • 11+1
      • 12+1
      • 13+1
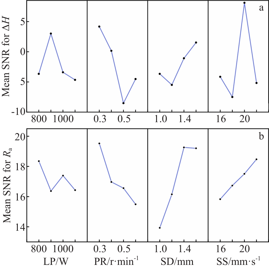
    • 多层多道次LDED工艺参数智能决策与多目标预测

      2026, 55(1):47-58. DOI: 10.12442/j.issn.1002-185X.20250065

      摘要 (76) HTML (71) PDF 1.87 M (485) 评论 (0) 收藏

      摘要:表征多层多道次激光金属打印件形貌质量的主要参数是表面粗糙度和实际打印高度与理论模型高度之间的误差。采用田口法建立工艺参数组合与金属打印形貌质量(高度误差和粗糙度)多目标表征之间的关联性。先通过信噪比和灰色关联分析法预测多层多道次打印的最优参数组合为:激光功率800 W、送粉速率0.3 r/min、步距1.6 mm、扫描速度20 mm/s;随后构建遗传贝叶斯-反向传播(GB-BP)网络对多目标响应进行预测。与传统反向传播网络相比,GB-BP网络对高度误差和表面粗糙度的预测精度分别提高了43.14%和71.43%。该网络可以准确预测多层多道次激光定向能量沉积金属打印部件的形貌和质量的多目标表征。

      • 0+1
      • 1+1
      • 2+1
      • 3+1
      • 4+1
      • 5+1
      • 6+1
      • 7+1
      • 8+1
      • 9+1
      • 10+1
    • 基于机器学习的铝合金电弧增材薄壁构件成形质量预测及多目标优化

      2026, 55(1):105-115. DOI: 10.12442/j.issn.1002-185X.20250150

      摘要 (271) HTML (142) PDF 2.79 M (655) 评论 (0) 收藏

      摘要:电弧增材制造(WAAM)在航空航天领域具有重要应用价值,但其热输入不稳定性导致铝合金薄壁构件几何符合度差与内部缺陷多的问题突出。针对传统方法在多物理场耦合优化中的局限性,本研究提出数据驱动解决方案:通过构建工艺参数(电流、扫描速率、送丝速率)与成形质量(路径/层间壁厚一致性、孔隙率)的数据集,建立反向传播(BP)神经网络模型,并融合遗传算法(GA)优化原始模型,结合第二代非支配排序遗传算法(NSGA-II)进行成形质量多目标寻优。结果表明:优化后的GA-BP模型显著提升了沿路径壁厚一致性和孔隙率的预测精度,但层间壁厚一致性预测优化效果有限。通过NSGA-II获得的50组Pareto解集提出4类优化策略,验证试验结果表明模型预测误差为8.89%,准确地实现了成形质量指标的协同优化。

      • 0+1
      • 1+1
      • 2+1
      • 3+1
      • 4+1
      • 5+1
      • 6+1
      • 7+1
      • 8+1
      • 9+1
    • 机械合金化AlTiCrNiCu低密度高熵合金的粘结剂喷射3D打印与烧结致密化研究

      2026, 55(1):116-123. DOI: 10.12442/j.issn.1002-185X.20240636

      摘要 (79) HTML (111) PDF 7.96 M (461) 评论 (0) 收藏

      摘要:粘结剂喷射3D打印(BJ3DP)技术因其独特优势而受到广泛关注,然而,粉末床打印工艺需要球形粉末,限制了一些熔点差较大的高熵合金粉末的制备以及打印成形。本工作主要针对非球形颗粒的BJ3DP-烧结行为开展研究。结果表明,采用机械合金化法制备了bcc结构的不规则AlTiCrNiCu低密度高熵合金粉末,其粒径分布为6.72~67.52 μm,平均粒径为21.17 μm,满足BJ3DP工艺要求。正交试验结果表明,在保证生坯形貌完整条件下:当粘结剂饱和度为70%、层厚为120 μm和铺粉速度为5 mm/s时,BJ3DP的生坯致密度较高(约44.4%)。生坯经过1190 ℃/4 h烧结后,其块体的致密度达到91.6%。AlTiCrNiCu低密度高熵合金为多相结构,基体为B2相,还包括bcc、fcc和少量L21相。该合金具有高的抗压缩性能,其屈服强度和抗压强度分别约为840和960 MPa。

      • 0+1
      • 1+1
      • 2+1
      • 3+1
      • 4+1
      • 5+1
      • 6+1
      • 7+1
    • Mo含量对激光增材制造TC4钛合金组织与性能影响

      2026, 55(1):124-135. DOI: 10.12442/j.issn.1002-185X.20240669

      摘要 (133) HTML (95) PDF 11.49 M (445) 评论 (0) 收藏

      摘要:TC4钛合金因其出色的力学性能和优异的生物相容性,在航空航天及医疗器械领域具有广泛的应用。激光增材制造(LAM)是钛合金成形制造的重要手段,增材制造TC4钛合金内部存在大量的柱状晶和针状的马氏体,会导致材料性能存在各向异性、塑性降低。本研究采用添加钼(Mo)对增材制造TC4钛合金进行组织性能调控,旨在探究Mo含量对激光增材制造TC4钛合金的组织结构和性能的影响。结果表明:适量的Mo含量能有效细化晶粒,随Mo元素的添加,合金基体中逐渐析出TiAl3相,其含量随Mo含量的增加而增多,当Mo含量达到8wt%,合金中分布着细小弥散的片层状组织,β相的含量急剧增加,晶粒细化程度和位错密度均达到最大值。随Mo含量从0增加到10wt%,合金的抗拉强度、硬度呈先增大后减小趋势,伸长率先减小后增大,杨氏模量逐渐降低,而耐腐蚀性能呈先上升后下降趋势。当Mo含量为8wt%,合金获得最佳的强度与塑性匹配,抗拉强度、伸长率和杨氏模量值分别为1065.6 MPa、11.5%和55.4 GPa,合金耐腐蚀性能有所提升。综合考虑,TC4-8Mo试样有着优良的力学性能和良好的耐腐蚀性能,具有做人体医学植入物材料的潜力。

      • 0+1
      • 1+1
      • 2+1
      • 3+1
      • 4+1
      • 5+1
      • 6+1
      • 7+1
      • 8+1
      • 9+1
      • 10+1
      • 11+1
      • 12+1
    • 工艺参数对激光定向能量沉积B4C/Ti6Al4V复合材料组织及性能的影响

      2026, 55(1):136-145. DOI: 10.12442/j.issn.1002-185X.20250012

      摘要 (80) HTML (82) PDF 16.98 M (426) 评论 (0) 收藏

      摘要:为研究工艺参数(激光功率、扫描速度)对激光定向能量沉积1vol% B4C/Ti6Al4V复合材料组织与力学性能的影响,揭示不同工艺参数下组织与力学性能的关系,采用激光定向能量沉积技术制备了不同工艺参数的B4C/Ti6Al4V复合材料。实验结果表明:外加的B4C颗粒发生部分溶解,复合材料的增强体由未溶B4C、TiB和TiC组成。随着激光功率的增加或扫描速度的降低,未溶B4C的数量减少,原位生成的TiB和TiC数量增多,β-Ti的晶粒尺寸逐渐增大。复合材料的硬度随着激光功率的升高从382.6 HV0.5增加至406.5 HV0.5,扫描速度降低时硬度也呈上升趋势。激光功率为1200 W,扫描速度为 500 mm/min时磨损率达到最低为8.517×10–4 mm3·N–1·m–1。激光功率减小或者扫描速度增大时,抗拉强度增加,最高可达1180.4±6.2 MPa。抗拉强度的提升可归因于晶粒细化的作用。

      • 0+1
      • 1+1
      • 2+1
      • 3+1
      • 4+1
      • 5+1
      • 6+1
      • 7+1
      • 8+1
    • 3D打印纯铜坯体热脱脂过程形状优化研究

      2026, 55(1):146-152. DOI: 10.12442/j.issn.1002-185X.20250247

      摘要 (64) HTML (57) PDF 3.39 M (451) 评论 (0) 收藏

      摘要:铜及其合金因其高导热性在热管理领域展现出巨大的应用潜力,3D打印技术是拓展其应用场景的关键。脱脂技术是限制其打印技术发展的主要因素之一。本研究建立了粘结剂喷射(binder jetting,BJ)打印坯体的热脱脂质量量化指标,并对BJ打印坯体内部的粘结剂分布进行了优化,对不同优化方式的优化结果进行了对比与实验验证。研究发现,坯体内部的粘结剂分布优化区域的最佳参数为S1/S0=0.6,R1/R0=0.4,R2/R0=0.8。粘结剂空间分布的形状优化结果也呈现出上窄下宽的喇叭形状。对其进行打印验证,发现其打印效果并无明显差异。对相同整体粘结剂含量的不同粘结剂分布策略的抗压强度进行分析发现,形状优化相较未优化时提高了10%。

      • 0+1
      • 1+1
      • 2+1
      • 3+1
      • 4+1
      • 5+1
      • 6+1
      • 7+1
    • 搅拌摩擦沉积增材7075-T6铝合金组织及性能

      2026, 55(1):153-163. DOI: 10.12442/j.issn.1002-185X.20250022

      摘要 (77) HTML (84) PDF 15.82 M (444) 评论 (0) 收藏

      摘要:本研究基于压力控制的固相摩擦挤压增材设备,进行了AA7075-T6搅拌摩擦沉积增材(additive friction stir deposition,AFSD)工艺试验,探讨移动速度对沉积层微观组织及力学性能的影响。研究表明:在主轴转速300 r/min与横向移动速度分别为100和150 mm/min的工艺参数下成功获得成形良好及无缺陷的AA7075-T6沉积试样。沉积区为完全致密细小等轴晶组织,其平均晶粒尺寸与原始母材36.33±1.99 μm的晶粒组织相比显著细化。由于强烈的热-力耦合摩擦挤压作用使得沉积区再结晶比例超过80%,沉积区硬度及拉伸性能具有不均匀分布特征。随着移动速度从100 mm/min增加到150 mm/min,沉积区顶部硬度从120 HV提高到141 HV,分别达到母材硬度的69.8%和82.1%;对应沿TD方向抗拉强度从416.5 MPa提高到477.5 MPa,平均伸长率从6.25%上升到9.25%;但沉积区底部抗拉强度从397.0 MPa增加到414.0 MPa,平均伸长率从11.5%上升到12.25%。沉积区最高抗拉强度和伸长率分别可达到母材的78.2%和80.6%,沉积试样断裂模式均具有韧断特征。这说明提高移动速度有利于AFSD沉积区强度及塑性的改善。

      • 0+1
      • 1+1
      • 2+1
      • 3+1
      • 4+1
      • 5+1
      • 6+1
      • 7+1
      • 8+1
      • 9+1
      • 10+1
    • 选区激光熔化TB6钛合金α相析出和力学性能研究

      2026, 55(1):164-171. DOI: 10.12442/j.issn.1002-185X.20250119

      摘要 (88) HTML (99) PDF 7.43 M (482) 评论 (0) 收藏

      摘要:采用选区激光熔化技术制备了TB6钛合金试样,研究了时效温度对合金显微组织和力学性能的影响。结果表明,选区激光熔化成形沉积态TB6合金的显微组织主要由柱状β相和等轴α相组成,固溶时效后析出晶内层片状或颗粒状αP相及晶界αGB相。随着时效温度的升高,α相尺寸逐渐减小,层片状α相体积分数降低,颗粒状αp含量增加。拉伸性能测试结果显示,随时效温度提高,材料的抗拉强度降低而塑性明显提升。560 ℃时效试样的抗拉强度由520 ℃时效的1386.22 MPa降低到1129.00 MPa,而延伸率由520 ℃时效下的7.1%增至10.5%。研究发现,α相形貌和尺寸的变化影响了合金的强度与塑性,减少层片状αL相的体积分数和增加颗粒状αP相的体积分数有助于实现较好的强塑性匹配,提高时效温度可以降低层片状αL相的体积分数,可改善材料的塑性。

      • 0+1
      • 1+1
      • 2+1
      • 3+1
      • 4+1
      • 5+1
    • /铝异种金属激光增材工艺优化及界面演变特征

      2026, 55(1):222-232. DOI: 10.12442/j.issn.1002-185X.20250092

      摘要 (113) HTML (105) PDF 6.92 M (467) 评论 (0) 收藏

      摘要:钛/铝异种金属增材制造可实现轻量化与高强度统一,但连接存在困难。本研究以6061铝合金为基板、TC4焊丝为熔覆材料进行钛铝异种激光增材制造,以调控界面熔合比、减少界面化合物产生从而提高界面性能的角度出发优化工艺参数,经单因素试验与非线性回归分析确定最佳参数,在此工艺下获得的铝/钛异种金属结构界面抗拉强度提升至60.67 MPa。分析不同增材层数下异种金属界面组织演变,研究发现随着钛合金增材层数增加,钛铝界面脆性针状化合物随扩散逐渐转化为点状并逐渐汇集为完整一层。通过有限元模拟阐述界面残余应力演变特征,结果表明界面残余应力呈现先增后减再急剧增大趋势,且焊道两端存在严重应力集中现象。

      • 0+1
      • 1+1
      • 2+1
      • 3+1
      • 4+1
      • 5+1
      • 6+1
      • 7+1
      • 8+1
      • 9+1
      • 10+1
    • 增材制造难熔铌合金的新机遇

      2026, 55(1):250-265. DOI: 10.12442/j.issn.1002-185X.20240617

      摘要 (164) HTML (182) PDF 8.22 M (619) 评论 (0) 收藏

      摘要:难熔铌合金因其低密度、良好的室温塑性以及优异的高温强度与韧性,已成为航天领域热端部件的关键材料。然而,通过传统铸造方法制备铌合金,存在难以加工复杂几何形状零部件、以及周期长、成本高与材料利用率低等问题。近年来增材制造技术的迅速发展,不仅可以降低生产周期和成本,而且可以获得较高力学性能,为铌合金的进一步应用带来了新的机遇。本文综述了增材制造铌合金的研究现状,重点介绍了C-103和Nb521两代典型铌合金的激光与电子束增材制造研究现状,尤其是关于力学性能与微结构的调控。此外,还简单介绍了常见的铌合金种类以及增材制造方式。最后,提出了增材制造铌合金发展方向和仍需解决的问题。本文通过对增材制造铌合金领域的综述,为铌合金在航天领域复杂结构热端部件的应用提供了参考。

      • 0+1
      • 1+1
      • 2+1
      • 3+1
      • 4+1
      • 5+1
      • 6+1
      • 7+1
      • 8+1
      • 9+1
      • 10+1
      • 11+1
      • 12+1
      • 13+1
      • 14+1
    • >材料科学
    • 铪合金化对Ni-Cr-Mo合金中γ'相沉淀行为及拉伸性能的影响

      2026, 55(1):59-66. DOI: 10.12442/j.issn.1002-185X.20240815

      摘要 (42) HTML (56) PDF 2.88 M (369) 评论 (0) 收藏

      摘要:研究了Hf对Ni-Cr-Mo合金长期热暴露后γ′相析出行为及拉伸性能的影响。结果表明,在700 ℃热暴露5000 h的过程中,Hf的加入增大了γ′相的尺寸,从而提高了Ni-Cr-Mo合金中位错剪切γ′相的临界分解剪切应力。同时,Hf元素进入γ′相中,增加了γ′与γ之间的晶格错配度,从而提高了沉淀强化效果。这2种因素共同提高了合金的强度。因此,Hf合金化可以有效地提高Ni-Cr-Mo合金在700 ℃高温下的屈服强度。

      • 0+1
      • 1+1
      • 2+1
      • 3+1
      • 4+1
    • /钢异种金属磁脉冲焊接接头组织和性能

      2026, 55(1):67-77. DOI: 10.12442/j.issn.1002-185X.20240798

      摘要 (94) HTML (45) PDF 2.47 M (382) 评论 (0) 收藏

      摘要:采用磁脉冲焊接技术对AZ31B镁合金/DC56D钢异种不相容金属进行了焊接。对比研究了一次焊和二次焊对被焊界面的影响。通过扫描电子显微镜、能谱仪和X射线衍射仪等对焊接接头的宏观形貌、微观组织及界面结构进行了研究。结果表明,铝中间层通过变形和扩散作为桥梁,实现了镁/钢异种不相容金属的磁脉冲焊接。AZ31B/AA1060界面呈现出典型的波形界面,在接头界面中存在过渡区,过渡层中可能生成了非常复杂的微观组织结构,其组织明显不同于两侧的AZ31镁合金和1060铝组织,可能是Al3Mg2和All2Mg17的脆性金属间化合物。过渡区主要存在于铝侧,最厚处约为13.53 μm。在二次焊过渡区中发现微米级孔洞缺陷,一次焊界面出现不同厚度的不完全熔化层。AA1060/DC56D界面主要是平直界面,在接头界面中只有少量过渡区断续分布在界面上,过渡区存在FeAl3脆性金属间化合物,最厚处约为4 μm。

      • 0+1
      • 1+1
      • 2+1
      • 3+1
      • 4+1
      • 5+1
      • 6+1
      • 7+1
      • 8+1
    • 无延展性损失下低密度脉冲电流诱导细化次生α相强化Ti-6Al-4V-0.5Mo-0.5Zr合金

      2026, 55(1):78-91. DOI: 10.12442/j.issn.1002-185X.20250032

      摘要 (65) HTML (57) PDF 3.99 M (404) 评论 (0) 收藏

      摘要:对不同固溶处理的Ti-6Al-4V-0.5Mo-0.5Zr合金进行了低密度短时脉冲电流辅助时效处理。结果表明,脉冲电流辅助时效过程中,大量的αp相回熔转变为新的β相,然后新β相主要转变为βt组织或偶尔转变为新的αp相,导致晶粒显著细化,尤其是层片状αs相。与常规时效相比,脉冲电流辅助时效过程在保持相同延展性的同时显著提高了强度,实现了屈服强度932 MPa、抗拉伸强度1042 MPa和延伸率12.2%的优异组合。这主要归因于βt组织含量的增加、明显的晶粒细化效应以及βt区域内多个变体αs集束的滑移阻碍作用。

      • 0+1
      • 1+1
      • 2+1
      • 3+1
      • 4+1
      • 5+1
      • 6+1
      • 7+1
      • 8+1
      • 9+1
      • 10+1
      • 11+1
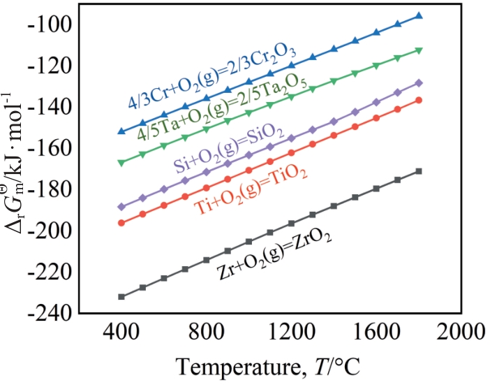
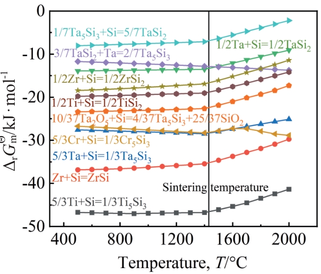
    • 基材微弧氧化预处理对Ta12W表面Si-Cr-Ti-Zr涂层组织结构及抗高温氧化性能的影响

      2026, 55(1):92-104. DOI: 10.12442/j.issn.1002-185X.20250319

      摘要 (64) HTML (41) PDF 5.92 M (452) 评论 (0) 收藏

      摘要:为了降低真空熔烧反应过程中硅化物料浆与Ta12W合金基体互扩散反应对硅化物涂层抗氧化性能的影响,采用微弧氧化预处理工艺在Ta12W合金表面构建Ta2O5陶瓷层,随后采用料浆喷涂-真空反应烧制方法在预处理后的基体表面制备Si-Cr-Ti-Zr涂层,对比研究有/无微弧氧化陶瓷层的制备态涂层的显微组织结构、物相组成以及1600 ℃的恒温抗氧化性能。结果表明,400 V电压下制备的Ta2O5氧化物陶瓷层相对于350 V更为连续且孔隙更小;微弧氧化后Ta12W合金表面Si-Cr-Ti-Zr涂层由以Ti5Si3、Ta5Si3和ZrSi为主相的上层,以TaSi2为主相的中层,以及以Ta5Si3为主相的涂层/基体界面反应层组成;有/无Ta2O5陶瓷层的Si-Cr-Ti-Zr涂层在1600 ℃下恒温氧化5 h后未发生失效,但Ta2O5氧化物陶瓷层的添加可以延缓涂层的高温氧化速率。

      • 0+1
      • 1+1
      • 2+1
      • 3+1
      • 4+1
      • 5+1
      • 6+1
      • 7+1
      • 8+1
      • 9+1
      • 10+1
      • 11+1
      • 12+1
      • 13+1
      • 14+1
      • 15+1
      • 16+1
      • 17+1
    • 微观组织调控提高GH3625合金管材在高温KCl-MgCl2熔盐环境下的耐腐蚀性能

      2026, 55(1):172-183. DOI: 10.12442/j.issn.1002-185X.20240588

      摘要 (111) HTML (0) PDF 36.21 M (430) 评论 (0) 收藏

      摘要:采用EBSD、XRD、SEM和EDS等手段研究了含不同比例孪晶的微观组织对GH3625合金管材在高温(600~800 ℃)KCl-MgCl2熔盐中腐蚀行为的影响。结果表明,随着退火温度的升高,GH3625合金管材等轴晶组织中退火孪晶界的比例增加,且在相同腐蚀温度下合金中孪晶界比例越高,其耐高温KCl-MgCl2熔盐腐蚀性能越好;同时,随着腐蚀温度的升高,同一组试样的耐高温KCl-MgCl2熔盐腐蚀性越差。此外,在晶粒尺寸相同的条件下,GH3625合金管材中退火孪晶界比例越高,其耐高温KCl-MgCl2熔盐腐蚀性能也越好,这主要归因于高密度稳定的退火孪晶界本身具有优异的抗腐蚀能力以及包含孪晶界的三叉晶界打断了原有大角度晶界网络的连通性,抑制了晶界的腐蚀。

    • 电参数调控TC4钛合金微弧氧化膜层耐蚀性的研究

      2026, 55(1):184-192. DOI: 10.12442/j.issn.1002-185X.20240609

      摘要 (73) HTML (47) PDF 3.15 M (382) 评论 (0) 收藏

      摘要:采用极差分析法研究电参数(电压、脉冲频率、占空比和处理时间)对TC4钛合金微弧氧化膜层耐蚀性的共同影响,进而探寻影响膜层耐蚀性的电参数显著性关系和最佳因素水平组合。同时结合膜层形貌和物相组成进一步探讨电参数对膜层耐蚀性的影响机制并建立回归方程,以此来实现通过电参数对微弧氧化膜层耐蚀性的调控。结果表明:占空比对膜层电化学耐蚀性影响的显著性最高,其次是脉冲频率和电压,处理时间对其影响较小。占空比和脉冲频率通过改变燃弧放电时间和熄弧冷却时间来影响膜层结构和性能,增加电压、占空比、处理时间或降低脉冲频率可使电源输出功率增加,导致膜层厚度增加、微孔孔径增大、致密度降低,膜层中Al2TiO5的生成效率更高,电化学耐蚀性能随之降低。通过相关系数法检验可知:所建立回归方程的因变量与自变量之间具有高度相关性,可以为钛合金微弧氧化膜的性能调控提供理论支持和预测方法。

      • 0+1
      • 1+1
    • 基于修正Gibson-Ashby模型的钛合金多孔材料各向异性调控

      2026, 55(1):193-202. DOI: 10.12442/j.issn.1002-185X.20240596

      摘要 (133) HTML (70) PDF 3.42 M (532) 评论 (0) 收藏

      摘要:根据不同方向的承载需求,开展多孔材料力学性能的各向异性调控,可以有效提高材料承载效率,更好地满足轻量化需求。本研究以G7、bccz型TC4钛合金多孔材料为例,提出了考虑孔结构几何参数的杆系多孔材料修正Gibson-Ashby模型,可为多孔材料的各向异性精细化调控提供指导;基于该计算模型,通过对传统胞元几何参数调整,获得一系列具有相似构型、不同性能的各向异性多孔材料,并通过正向及侧向压缩试验,研究了胞元几何参数对多孔材料各向抗压强度及破坏模式的影响,验证了修正模型的有效性。研究表明,杆系多孔材料的抗压强度由其胞元内部微杆件的长径比及倾斜角度决定,通过调整杆件倾斜角度可有效进行多孔材料各向力学性能的调控。相同密度下,将斜杆倾斜角度从35°提高至55°,可使G7、bccz型钛合金多孔材料的正向抗压强度大幅提升105%和45%,而侧向抗压强度仅损失16%和13%。

      • 0+1
      • 1+1
      • 2+1
      • 3+1
      • 4+1
      • 5+1
      • 6+1
      • 7+1
      • 8+1
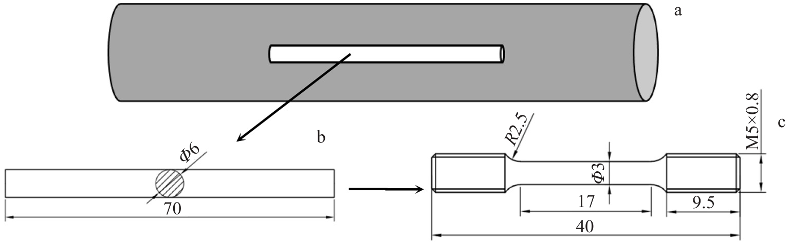
    • 高合金化难变形高温合金GH4975热裂敏感性研究

      2026, 55(1):203-212. DOI: 10.12442/j.issn.1002-185X.20240603

      摘要 (58) HTML (79) PDF 11.44 M (430) 评论 (0) 收藏

      摘要:为研究高合金化难变形高温合金GH4975热裂敏感性,对GH4975合金铸锭裂纹形貌和组织特征进行观察,结合其凝固行为和热力学计算等方式分析热裂原因。结果表明,裂纹沿晶界和枝晶间扩展,等轴晶区比柱状晶区具有更大的热裂倾向。铸锭中心区域易出现缩孔,连续缩孔的形成导致枝晶间搭接不充分,易在应力作用下被拉开从而形成裂纹源。同时枝晶间Al、Ti、Nb元素偏析严重,复杂的析出相尤其是大量的(γ+γ′)共晶相促进了裂纹的形核与扩展。JMatPro计算可知GH4975合金固液两相区收缩率大,不可补缩温度范围大,易形成缩孔从而成为裂纹源,同时不可补缩温度区间内合金线性膨胀系数变化大,裂纹易扩展。

      • 0+1
      • 1+1
      • 2+1
      • 3+1
      • 4+1
      • 5+1
      • 6+1
      • 7+1
      • 8+1
      • 9+1
      • 10+1
      • 11+1
      • 12+1
      • 13+1
      • 14+1
    • NiTi合金超弹性和弹热冷却效应的微观组织演变

      2026, 55(1):213-221. DOI: 10.12442/j.issn.1002-185X.20240612

      摘要 (80) HTML (104) PDF 3.49 M (450) 评论 (0) 收藏

      摘要:通过对具有不同马氏体含量、位错密度和晶粒尺寸的3种NiTi合金进行绝热循环加载试验,研究了不同微观组织对NiTi合金变形过程中呈现出的超弹性、变形模式和弹热冷却效应的内在影响机制。结果表明,大量位错和马氏体的存在以及小的晶粒尺寸可以降低NiTi合金超弹性功能退化的程度和局部不均匀变形的可能性,但弹热冷却能力较弱,并且应变值越小超弹性越好(最小εresidual=0.23%),弹热冷却能力越差(最大?Tcooling=0.63 K)。完全消除位错和马氏体以及增大晶粒尺寸可以获得较大的弹热冷却能力(?Tcooling=25 K),但其功能退化现象严重(由25 K降至9.6 K,下降61.6%)。通过400 ℃/15 min退火工艺调控位错和马氏体含量以及晶粒尺寸,既可以获得良好的超弹性和均匀的变形能力,又可以得到可观的弹热冷却能力(?Tcooling=7.2 K),同时可改善功能退化程度。

      • 0+1
      • 1+1
      • 2+1
      • 3+1
      • 4+1
      • 5+1
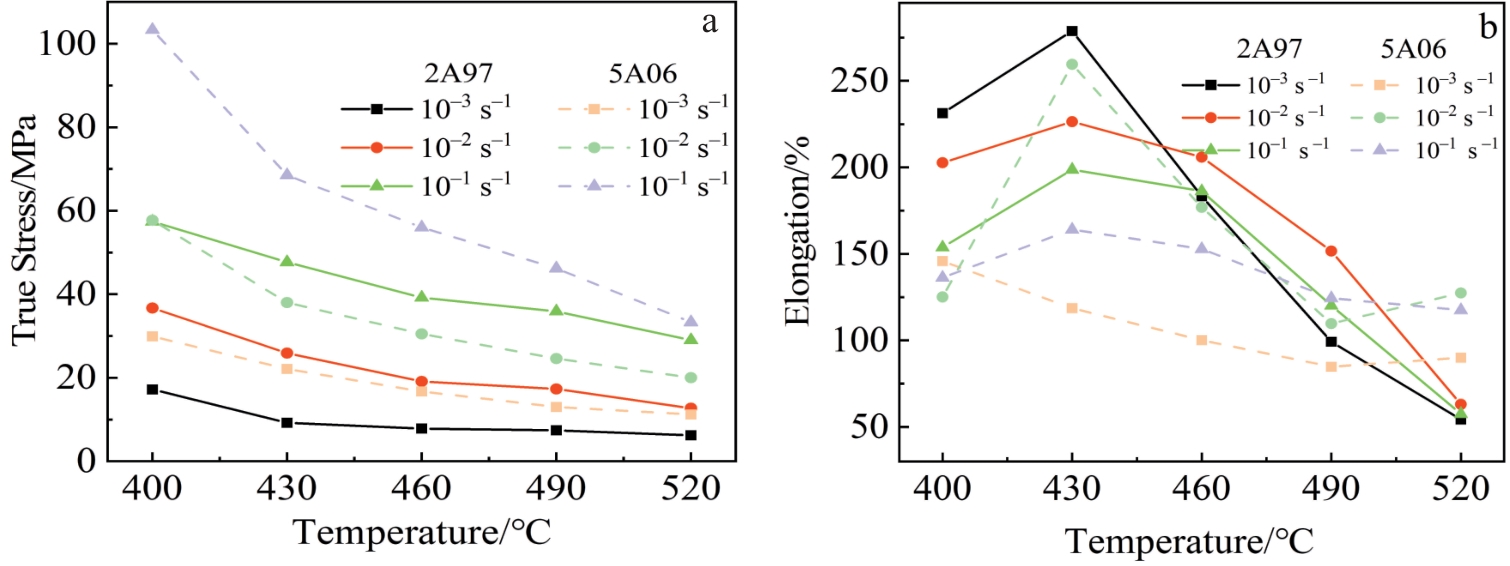
    • 2A97/5A06异种铝合金搅拌摩擦对焊板不均匀组织及高温协调变形行为研究

      2026, 55(1):233-240. DOI: 10.12442/j.issn.1002-185X.20240637

      摘要 (66) HTML (83) PDF 5.87 M (411) 评论 (0) 收藏

      摘要:本工作围绕2A97/5A06异种铝合金搅拌摩擦对焊板不均匀组织及高温协调变形行为开展研究。对焊后接头各区域进行微观组织观察,并对接头各区域及整体高温性能开展研究。发现焊后2A97与5A06的焊核区晶粒细小,2A97侧各区域晶粒尺寸较小且基本接近,5A06侧各区域晶粒尺寸略大且差别较明显。2A97与5A06母材在430 ℃、10–3 s–1条件下高温性能较好,延伸率分别达到278.8%和120.6%。接头焊核区强度和延伸率分别为18.4 MPa和176.1%,均介于2A97与5A06之间,强度约为2A97母材的2倍,延伸率约为5A06母材的1.5倍,整体性能呈现出明显的叠加原理。各区域变形抗力不同,垂直焊缝拉伸时在2A97热力影响区集中变形后发生断裂,修正后流动应力略高于母材而延伸率基本接近母材。焊后各区域晶粒尺寸与流动应力符合蠕变方程规律,晶粒尺寸越细小,流动应力也会相应降低。

      • 0+1
      • 1+1
      • 2+1
      • 3+1
      • 4+1
      • 5+1
      • 6+1
    • Mg-Bi合金热变形行为研究

      2026, 55(1):241-249. DOI: 10.12442/j.issn.1002-185X.20250142

      摘要 (52) HTML (88) PDF 10.34 M (459) 评论 (0) 收藏

      摘要:聚焦Mg-3Bi和Mg-6Bi 2种合金在400 ℃、应变速率0.001 s-1 条件下的挤压变形行为,并深入剖析挤压过程中合金的微观组织特征。研究发现,当Bi含量由3wt%增加到6wt%,合金塑性显著提升,断后伸长率由2.1%增加到5.6%,抗拉强度由188.2 MPa提高到209.2 MPa。高温挤压变形时,Mg-3Bi合金的软化机制主要是不连续动态再结晶,Mg-6Bi合金的是不连续动态再结晶和粒子诱导再结晶,其中前者的晶粒尺寸要大于后者。对Mg-Bi合金采用模具挤压时,模具边缘区域应变明显大于中心区域,形成类似于等通道转角挤压变形织构,当变形量累积到一定程度后,粒子诱导再结晶机制启动。合金挤压变形后,模具边缘区域和中心区域的晶粒均呈现高度再结晶状态,晶粒c轴垂直于挤压方向,形成典型挤压纤维织构。对Mg-Bi合金力学性能提升的贡献从高到低依次为晶粒细化、位错强化和纳米相强化机制。较Mg-3Bi合金,Mg-6Bi的韧窝密度更大,分散了应力集中,因此表现出更好的塑性。

      • 0+1
      • 1+1
      • 2+1
      • 3+1
      • 4+1
      • 5+1
      • 6+1
      • 7+1
    • >评述
    • 金属阴极电弧烧损机理及耐烧蚀阴极研究进展

      2026, 55(1):266-277. DOI: 10.12442/j.issn.1002-185X.20240643

      摘要 (102) HTML (98) PDF 9.82 M (589) 评论 (0) 收藏

      摘要:电弧等离子体设备的稳定工作时长受限于金属阴极的快速烧损失效。研制长寿命、服役稳定的阴极对提升现有设备运行能力至关重要,明确阴极的电弧放电过程的烧蚀行为和烧损机理,是研制高性能阴极的基础。本文在分析金属阴极复杂极端燃弧服役过程的基础上,介绍了蒸发喷溅烧蚀机理、氧化物剥离烧蚀机理和阴极斑点致非均匀烧蚀机理。进一步地,综述几种改性阴极耐电弧烧蚀性能的研究进展,包括阴极组织细化、外加低逸出功相和阴极功能梯度化。围绕阴极斑点放电及烧蚀坑结构演化的原位观测、阴极多场耦合烧蚀损伤模型构建,和阴极设计-试制-考核的全流程研发制度建立等方面,展望长寿命金属阴极研制未来的发展方向。

      • 0+1
      • 1+1
      • 2+1
      • 3+1
      • 4+1
      • 5+1
      • 6+1
      • 7+1
      • 8+1
      • 9+1
      • 10+1
      • 11+1
      • 12+1
      • 13+1
    • 基于高压技术的高温超导体制备及研究进展

      2026, 55(1):278-284. DOI: 10.12442/j.issn.1002-185X.20240592

      摘要 (81) HTML (96) PDF 1.20 M (540) 评论 (0) 收藏

      摘要:在超导材料研究领域,从金属汞单质超导体的发现到镍基超导体的制备,对超导材料物理性质和微观机理的研究极大推动了凝聚态物理学的发展。基于新制备技术研发实用化高温超导体,在强电和弱电应用领域具有重要的意义。高压实验技术作为一种新手段,已成为探索新奇超导体及提高超导体超导转变温度(Tc)的强力工具之一。本文以超导转变温度较高(大于150 K)的3种高温超导体H3S、LaH10和HgBaCaCuO为对象,系统地总结了其制备技术的研究进展,明确实用化高温超导体的制备思路。通过分析得出以下主要结论,高压有助于制备具有特殊晶体结构的富氢化合物超导体LaH10,使其获得较高的超导转变温度;同时,高压也能够以类似改变掺杂的方式影响铜氧化物超导体,从而改变其超导电性。高压技术是获得具有特殊晶体结构(层状和笼状)高温超导体的有效途径。

      • 0+1
      • 1+1
      • 2+1
      • 3+1
      • 4+1
      • 5+1
      • 6+1
      • 7+1
      • 8+1
      • 9+1

当期目录

年第卷第

文章目录

刊期浏览

刊期

浏览排行

引用排行

下载排行