+Advanced Search
  • Volume 55,Issue 5,2026 Table of Contents
    Select All
    Display Type: |
    • >2026 Phase Field Method-Integrated Computational Material Engineering
    • Design and Phase-Field Simulation of Core-Shell Microstructure in TiNb Binary Alloy

      2026, 55(5):1129-1136. DOI: 10.12442/j.issn.1002-185X.20250225

      Abstract (53) HTML (168) PDF 1.92 M (113) Comment (0) Favorites

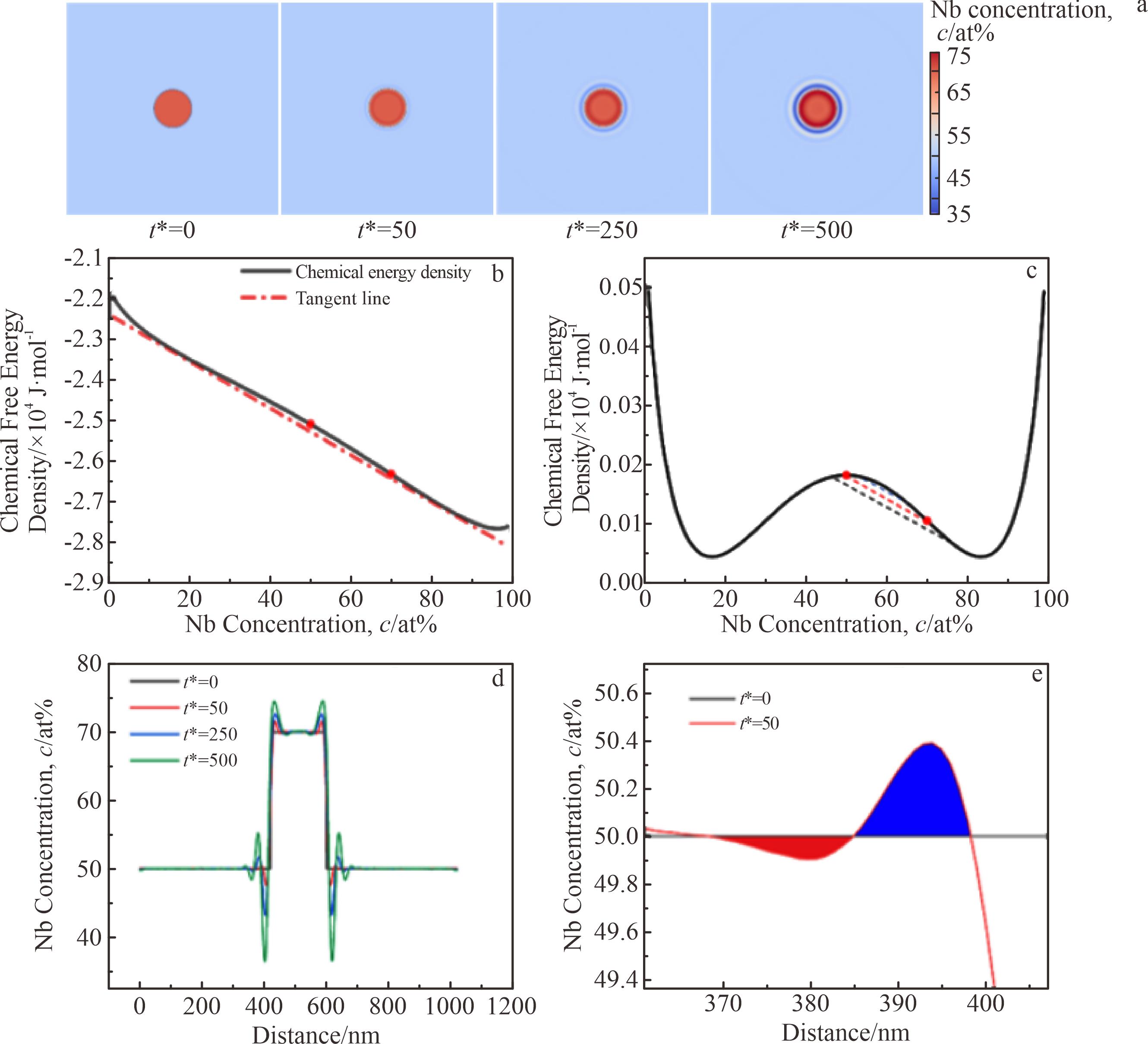
      Abstract:The core-shell structure in bulk TiNb binary alloy was designed and studied by phase-field simulations, where various core-shell structures were obtained by precise control of the initial and boundary conditions of the TiNb binary alloy system during spinodal decomposition, and then the formation mechanism of core-shell structure was revealed. In addition, the influences of initial temperature gradient, average temperature, and initial concentration distribution of the system on the core-shell structure were investigated. Results show that the initial concentration gradient is the key factor for forming the core-shell structure. Besides, larger initial temperature gradient and higher average temperature can promote the formation of core-shell structure, which can be stabilized by adjusting the initial concentration distribution of the Nb-rich region in TiNb binary alloy. As a theoretical basis, this research provides a novel and simple strategy for the preparation of TiNb-based alloys and other materials with peculiar core-shell structures and desirable mechanical and physical properties.

      • 0+1
      • 1+1
      • 2+1
      • 3+1
      • 4+1
      • 5+1
      • 6+1
      • 7+1
    • Three-Dimensional Phase-Field Simulation of Grain Evolution in Physical Vapor Deposited Pure Ti Thin Film

      2026, 55(5):1137-1145. DOI: 10.12442/j.issn.1002-185X.20250211

      Abstract (43) HTML (65) PDF 1.86 M (73) Comment (0) Favorites

      Abstract:Combining the phase-field method and the moving boundary method, a three-dimensional phase-field simulation was conducted for the growth and grain evolution of Ti films deposited by physical vapor deposition under different deposition rates and grain orientations. The evolution of grain morphology and grain orientation was also taken into consideration. Simulation results show that at lower deposition rates, the surface of the formed Ti film exhibits a distinct oriented texture structure. The surface roughness of the Ti film is positively correlated with the grain misorientation. Moreover, the surface roughness obtained from the simulation is in good agreement with the experiment results.

      • 0+1
      • 1+1
      • 2+1
      • 3+1
      • 4+1
      • 5+1
    • Designing Optimal Temperature for Multi-directional Forging Process: A Phase-Field Crystal Study

      2026, 55(5):1146-1156. DOI: 10.12442/j.issn.1002-185X.20250354

      Abstract (38) HTML (72) PDF 4.13 M (77) Comment (0) Favorites

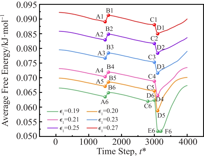
      Abstract:Using multi-directional forging temperature as the independent variable and adopting the dual-mode phase field crystal model, the nucleation modes, reaction mechanisms, and interactions between grain boundaries and dislocations at different temperatures were investigated. Results show that a mapping relationship between process parameters and grain refinement/coarsening is established, and the optimal processing temperature coefficient is 0.23. Compared with the cases with processing temperature coefficient of 0.19, 0.20, 0.21, 0.25, and 0.27, the refinement effect increases by 256.0%, 146.0%, 113.0%, 6.7%, and 52.4%, respectively. Excessively high temperatures lead to grain coarsening due to dislocation annihilation, and the application of strain can reduce the actual melting point of materials. Even if the processing temperature does not exceed the theoretical melting point, remelting and crystallization may still occur, resulting in an overburning phenomenon that reduces internal defects and increases overall grain size. This research is of great significance for the actual forging process design.

      • 0+1
      • 1+1
      • 2+1
      • 3+1
      • 4+1
      • 5+1
      • 6+1
      • 7+1
      • 8+1
      • 9+1
    • Multi-physics Study of Thermal History Effect on Non-equilibrium Solidification Microstructure of Ti-Nb Alloy During Dual-Track Selective Laser Melting

      2026, 55(5):1157-1169. DOI: 10.12442/j.issn.1002-185X.20250053

      Abstract (47) HTML (65) PDF 3.81 M (81) Comment (0) Favorites

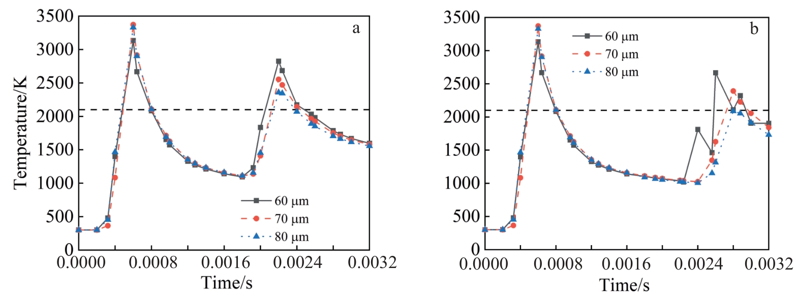
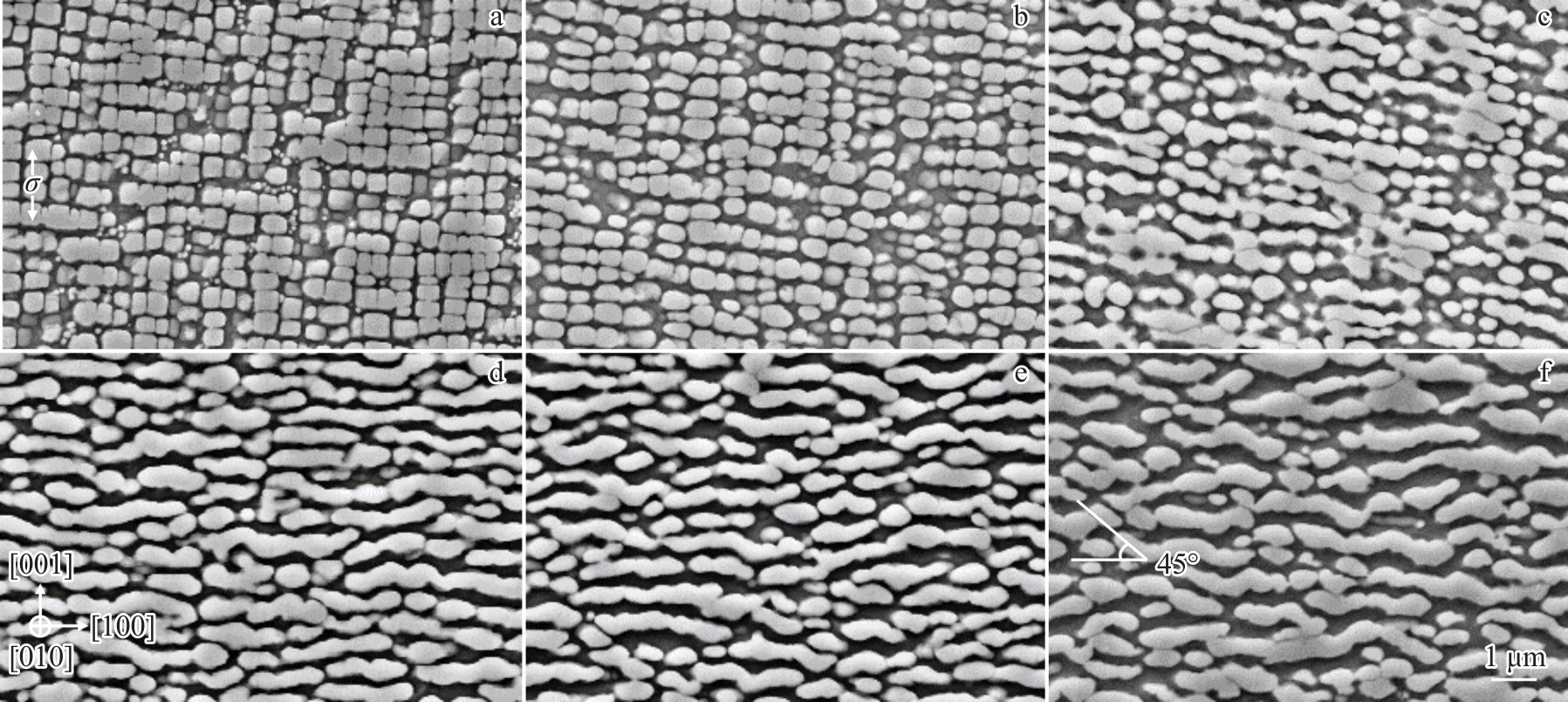
      Abstract:A multi-physics approach was used to quantify the effect of process parameters (laser power, scanning speed, hatch spacing, and scanning strategy) on the thermal history and corresponding microstructure evolution of Ti-25Nb (at%) alloy during the dual-track selective laser melting (SLM) process. Simulation results reveal that during the dual-track SLM process, increasing laser power results in greater thermal accumulation, leading to a molten pool of larger volume and coarser grains. Reducing scanning speed enhances remelting and promotes cellular growth at the top of molten pool, whereas faster scanning speed leads to rougher melt tracks and finer grains. Notably, hatch spacing significantly influences the molten pool dimensions and microstructures, and smaller hatch spacing promotes remelting. Furthermore, the orientations of grains in the second track during zigzag scanning differ markedly from those in the first track. More importantly, compared with those after the first track, both the temperature gradient and cooling rate at the boundaries of remelting molten pool are reduced after the second track scanning, resulting in slower interface velocity and significant change in solidification microstructure. This research provides a theoretical foundation for controlling non-equilibrium microstructure and offering novel insights into the optimization of SLM process parameters of titanium alloys.

      • 0+1
      • 1+1
      • 2+1
      • 3+1
      • 4+1
      • 5+1
      • 6+1
      • 7+1
      • 8+1
      • 9+1
      • 10+1
      • 11+1
      • 12+1
      • 13+1
      • 14+1
      • 15+1
      • 16+1
      • 17+1
      • 18+1
    • Effect of Gradient Layer Thickness on Anti-penetration Properties of 2024 Al/TC4 Laminated Composites

      2026, 55(5):1170-1183. DOI: 10.12442/j.issn.1002-185X.20240842

      Abstract (45) HTML (54) PDF 3.76 M (76) Comment (0) Favorites

      Abstract:A gradient structure was introduced into a metal laminated target plate, and the anti-penetration simulation of the gradient structure was compared with that of a uniform-layer-thickness target plate by finite element simulation. The analysis was verified by an impact experiment. Results show that the high-level thickness and appropriate percentage of Ti alloy at the upper side of the gradient structure provide greater impact resistance against the bullet, which increases the warhead breakage and enhances the anti-penetration performance. In addition, during the impact process, the stress is transmitted and reflected in the form of waves in each layer of the target plate, and the interaction between the compression and tension waves causes non-synergistic deformation of the target plate and leads to delamination. The gradient target plate takes penetration resistance a step further through the higher energy absorption rate and more consumption of the bullet kinetic energy. This research provides a theoretical basis for the application of gradient structures in metallic laminated armor.

      • 0+1
      • 1+1
      • 2+1
      • 3+1
      • 4+1
      • 5+1
      • 6+1
      • 7+1
      • 8+1
      • 9+1
      • 10+1
      • 11+1
      • 12+1
      • 13+1
    • Phase-Field Simulation of Helium Bubble Formation in Pu-Ga Alloy

      2026, 55(5):1209-1215. DOI: 10.12442/j.issn.1002-185X.20250197

      Abstract (98) HTML (57) PDF 1.56 M (86) Comment (0) Favorites

      Abstract:Pu-Ga alloys are vital nuclear materials. However, the nucleation and growth of helium bubbles significantly affect their microstructural evolution and mechanical properties. In this work, a phase-field model was developed to simulate the formation and evolution of helium bubbles in Pu-Ga alloys during room-temperature aging. The model analyzed the morphological evolution of helium bubbles under different aging time and temperatures. According to phase-field simulation results, the variation curves of average diameter and number density of bubbles were obtained. The results show that at room temperature, bubble size and spatial distribution remain nearly unchanged, while the number density increases linearly. These simulation results align well with published experimental data. Further analysis indicates that aging temperature primarily affects growth kinetics of bubbles by influencing point defect mobility rate. In contrast, the exceptionally low diffusion coefficient at room temperature is the key factor leading to the unique evolution trends observed in bubble size and number density. This study provides a mesoscale theoretical model for accurately predicting the growth behavior of helium bubble in Pu-Ga alloys.

      • 0+1
      • 1+1
      • 2+1
    • Phase-Field Simulation of Influence of Stored Energy on Grain Growth in Alloys

      2026, 55(5):1216-1222. DOI: 10.12442/j.issn.1002-185X.20250235

      Abstract (35) HTML (60) PDF 2.52 M (71) Comment (0) Favorites

      Abstract:The optimized accelerated multi-phase field model was used to investigate the influence of magnitude and distribution of stored energy on the grain growth of alloy microstructures. The results show that the model successfully simulates and accelerates the microstructure evolution of a system with multiple order parameters. An increase in stored energy of alloy accelerates grain growth, leading to an increase in average grain size. During the early-to-mid stages of microstructure evolution, grains with high stored energy reduce the uniformity of local grain sizes. An increase in the non-uniformity of stored energy distribution can expedite the release process of stored energy in the early-to-mid stages of microstructure evolution, leading to a larger grain size. In the later stage, smaller and more uniform grain size is obtained. This research develops a polycrystalline geometric model for integrated microscale simulation of alloys, providing a theoretical basis for analyzing fine-scale parameter changes in grain size after high-temperature deformation.

      • 0+1
      • 1+1
      • 2+1
      • 3+1
      • 4+1
      • 5+1
      • 6+1
      • 7+1
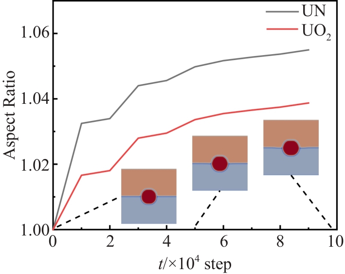
    • Phase-Field Simulation of Grain Growth During Final Stage of Sintering in Two-Phase Composite Fuels

      2026, 55(5):1223-1232. DOI: 10.12442/j.issn.1002-185X.20250214

      Abstract (43) HTML (41) PDF 2.30 M (69) Comment (0) Favorites

      Abstract:A numerical model based on phase-field method to simulate the grain growth during the final sintering stage of a two-phase UO2-UN composite fuel was established, systematically investigating the grain evolution within the composite fuel system. Firstly, a simplified model of a void held between two grains was established to elucidate the interaction mechanism between grain boundary (GB) and voids. The results show that voids near GBs exhibit shrinkage dynamics and evolve into a ellipsoidal shape. Additionally, voids in contact with grains of high interfacial energy show significantly accelerated shrinkage rate. The triple interface angle in the system is determined by the ratio of the two-phase GB energy to the interface energy. Furthermore, a quantitative analysis was conducted on the grain growth process within the two-phase polycrystalline system. The investigation into the effect of phase volume fraction reveals that grain migration is significantly constrained by phase interface. As the volume fraction of the secondary phase increases, the increased phase interface density reduces the grain growth rate. Finally, the grain growth model for the two-phase polycrystalline system containing voids was developed to investigate the pinning effect induced by voids and to elucidate the growth kinetics at the final sintering stage. The results show that voids induce GB pinning, with the pinning strength positively correlated with void density. Non-uniform local void distribution can trigger abnormal grain growth. A three-dimensional void pinning analysis further shows that complex grain topology enhances the void pinning effect, resulting in more distinctive morphological features of abnormal grain growth in three-dimensional systems.

      • 0+1
      • 1+1
      • 2+1
      • 3+1
      • 4+1
      • 5+1
      • 6+1
    • Phase-Field Simulation Study on Phase Decomposition Behavior of U-Nb Alloys

      2026, 55(5):1233-1241. DOI: 10.12442/j.issn.1002-185X.20250215

      Abstract (33) HTML (43) PDF 2.08 M (70) Comment (0) Favorites

      Abstract:The phase decomposition of U-Nb alloys exhibits significant microstructure changes with composition, aging temperature, and holding time. To study the physical mechanism of complex phase decompositions behavior of U-Nb alloys, systematic phase-field simulations were conducted. The results show that continuous and discontinuous precipitations may have the same thermodynamic condition. When the volume diffusion is inhibited and the interface diffusion plays a leading role, the phase decomposition is more inclined to discontinuous precipitation. It is speculated that the obvious difference of continuous precipitates between U-5Nb alloy and U-13Nb alloy is caused by different phase transformation mechanisms. U-5Nb alloy exhibits typical continuous precipitation, while U-13Nb alloy first undergoes miscibility gap decomposition within the γ phase, followed by the precipitate of α phase. The free energy relationship of γ phase in the middle Nb content range has an important influence on the occurrence of miscibility gap decomposition and the composition of the Nb-rich phase in the discontinuous precipitation product.

      • 0+1
      • 1+1
      • 2+1
      • 3+1
      • 4+1
      • 5+1
      • 6+1
      • 7+1
      • 8+1
    • Two-Sided Diffusion Quantitative Phase-Field Model for Isothermal Solidification of Multi-component Alloys

      2026, 55(5):1242-1249. DOI: 10.12442/j.issn.1002-185X.20250233

      Abstract (26) HTML (42) PDF 1.81 M (66) Comment (0) Favorites

      Abstract:To achieve quantitative simulation of microstructure evolution during the solidification process of industrial alloys, this study extended one-sided diffusion quantitative phase-field model for isothermal solidification of multi-component alloys to two-sided diffusion one. The model was coupled with actual thermodynamic and kinetic data of the alloy, fully considering the interactions between different alloying elements. On the basis of eliminating the chemical potential jump at the interface, the anti-solute trapping coefficient Ai and phase-field mobility M in the two-sided diffusion quantitative phase-field model were redefined. Results show that taking Ti-45Al-8Nb (at%) ternary alloy as an example, 1D and 2D numerical simulations were conducted and compared with experimental results, validating the effectiveness of the established model in predicting the microstructure during solidification. The results provide theoretical support for further optimization of casting process and precise control of solidification microstructures.

      • 0+1
      • 1+1
      • 2+1
      • 3+1
      • 4+1
      • 5+1
      • 6+1
    • Simulation of α-Mg Dendrite Growth in AZ91 Magnesium Alloy Under Forced Convection Using Phase Field Method

      2026, 55(5):1250-1258. DOI: 10.12442/j.issn.1002-185X.20250409

      Abstract (37) HTML (44) PDF 1.81 M (63) Comment (0) Favorites

      Abstract:During the solidification process of alloys, the flow of molten metal can significantly alter the thermodynamics of dendrite growth, thereby affecting the microstructure and mechanical properties of the components. This work established a phase field-lattice Boltzmann coupling model for the growth of α-Mg dendrites in Mg-9.0wt%Al-1.0wt%Zn alloy under forced convection, mainly studying the effect of melt convection on the growth of α-Mg dendrites. The results show that melt convection leads to asymmetric dendritic growth, with the upstream dendritic growth rate greater than the downstream one. This asymmetric morphology of dendrites becomes more pronounced with the increase in flow velocity. Through simulations of different flow velocity directions, it is found that the length of the dendrite arm is increased with the increase in angle between flow velocity direction and horizontal direction, while the thickness of the solute enrichment layer is decreased with the increase in angle. When the angle is 90°, the dendrite arm experiences the maximum shear force and deflection angle. In addition, the three-dimensional simulation results confirm that the asymmetric growth behavior of α-Mg dendrites under forced convection also exists in the three-dimensional simulation, manifested as a greater enrichment of solutes downstream and a concentration of solidification latent heat mainly upstream.

      • 0+1
      • 1+1
      • 2+1
      • 3+1
      • 4+1
      • 5+1
      • 6+1
    • Phase-Field Study of Al Addition Effects on Dendritic Growth and Solute Segregation During Non-Isothermal Solidification of Mg-3wt%Y-1wt%Zn Alloy

      2026, 55(5):1259-1267. DOI: 10.12442/j.issn.1002-185X.20250408

      Abstract (35) HTML (48) PDF 2.25 M (57) Comment (0) Favorites

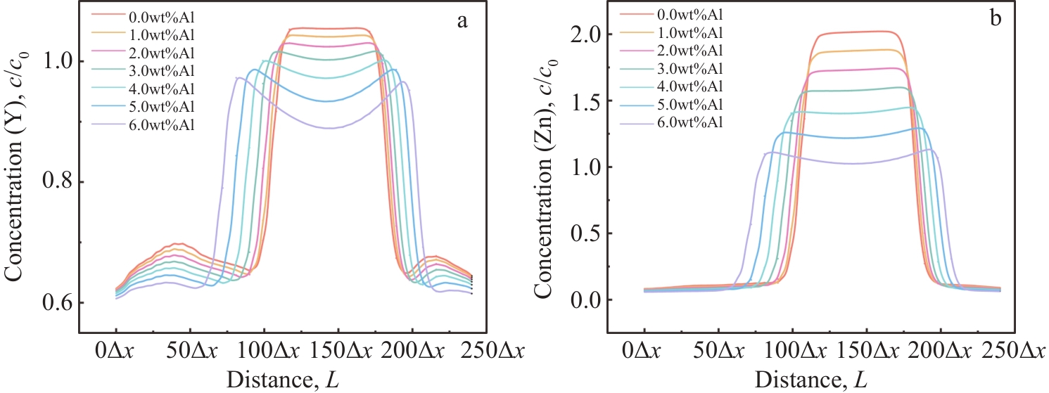
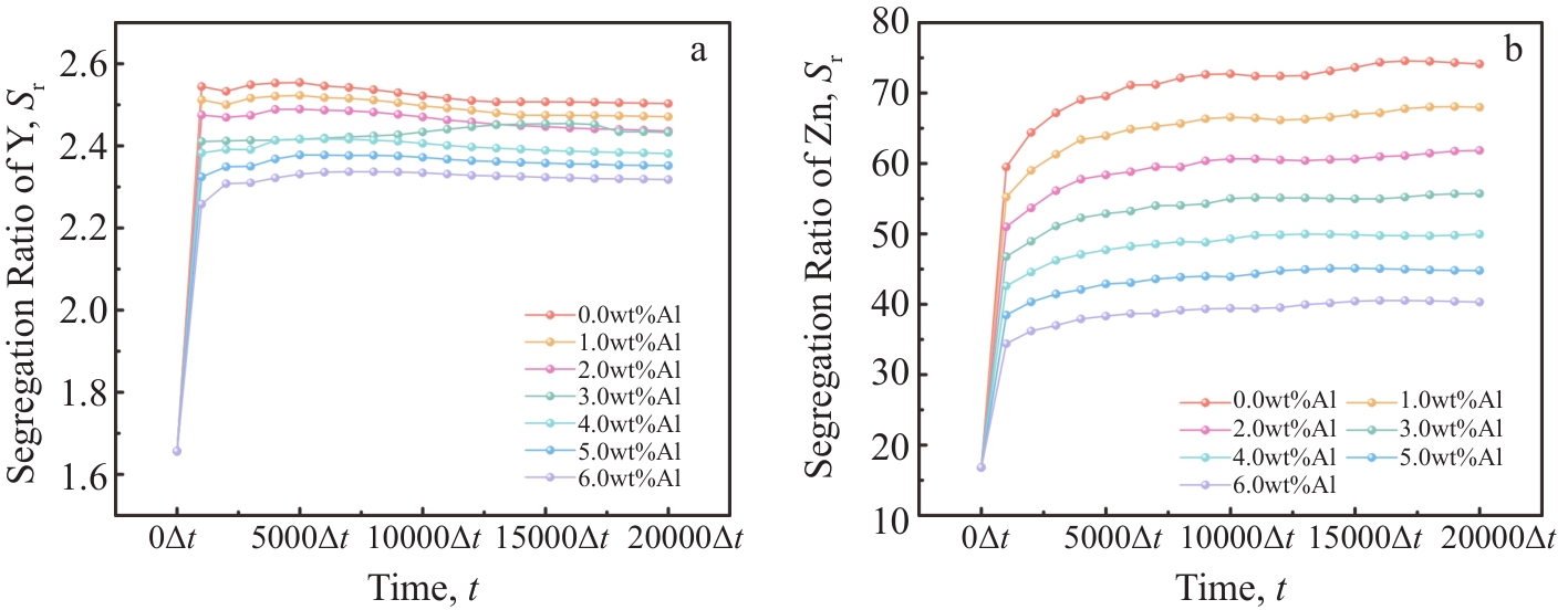
      Abstract:A multi-component quantitative phase-field model was developed to investigate the influence of the Al addition on the solidification behavior of Mg-3wt%Y-1wt%Zn alloy. The study focused on the growth kinetics, solute segregation, and controlling mechanism of secondary dendrite arm spacing (SDAS) of α-Mg dendrites. The results show that Al addition significantly suppresses the growth rate of α-Mg dendrites and reduces the growth rate of solid fraction. Moreover, Al effectively mitigates Zn microsegregation, substantially decreasing the segregation ratio, while having only a minor effect on Y segregation. Furthermore, Al promotes SDAS refinement by lowering the liquidus temperature, inhibiting solute diffusion, and reducing solid/liquid interfacial energy. Constitutional undercooling analysis indicates that higher Al content enhances solute accumulation, leading to increased undercooling, thereby altering dendritic nucleation and growth. This study provides valuable insights for optimizing the solidification microstructure and enhancing the mechanical properties and corrosion resistance of Mg-Y-Zn-Al alloys.

      • 0+1
      • 1+1
      • 2+1
      • 3+1
      • 4+1
      • 5+1
      • 6+1
      • 7+1
      • 8+1
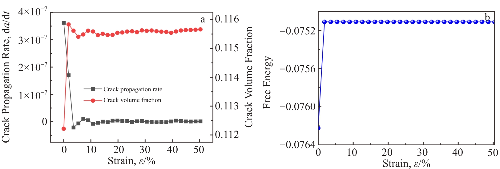
    • Relationship Between Grain Orientation and Crack Propagation Revealed by Phase-Field Crystal Simulation

      2026, 55(5):1268-1278. DOI: 10.12442/j.issn.1002-185X.20250365

      Abstract (36) HTML (39) PDF 2.86 M (70) Comment (0) Favorites

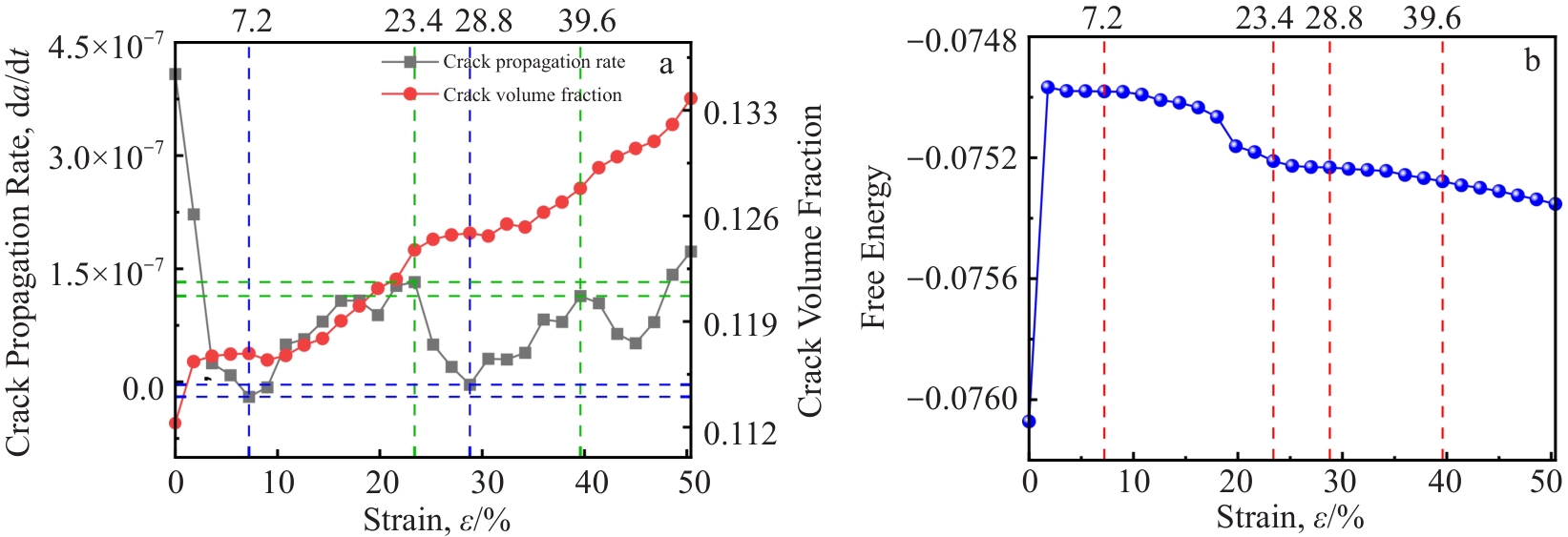
      Abstract:The influence of different orientation angles on the microcrack propagation mechanism in nano twin crystal system under dynamic tensile conditions was investigated using the phase-field crystal method. The results show that under the same tensile conditions, the crack propagation mode, crack volume fraction, and crack propagation rate are related to the grain orientation. The difference in the crack propagation mechanism of the same orientation depends on the dislocation activity near the crack tip. A single dislocation located at the crack tip can easily lead to brittle expansion of the crack and accelerate the crack propagation rate. Dislocations in different directions at the crack tip may tangle together, which in turn hinders the crack propagation.

      • 0+1
      • 1+1
      • 2+1
      • 3+1
      • 4+1
      • 5+1
      • 6+1
      • 7+1
      • 8+1
      • 9+1
      • 10+1
      • 11+1
      • 12+1
      • 13+1
      • 14+1
      • 15+1
    • Application and Prospects of Mechanically-Coupled Phase-Field Models in Aeronautical Materials

      2026, 55(5):1308-1316. DOI: 10.12442/j.issn.1002-185X.20250232

      Abstract (37) HTML (34) PDF 4.01 M (76) Comment (0) Favorites

      Abstract:With the rapid development of the aviation industry, superalloys and titanium-based alloys serve as core materials for aerospace engines and structural components, whose microstructure control and performance optimization are key factors to ensure equipment reliability. The mechanically-coupled phase-field model, as an effective tool for simulating microstructure evolution, bridges the gap among microscale mechanical principles, mesoscale microstructure simulation and macroscopic performance predictions. The model reveals the intrinsic connection between microstructure evolution and mechanical properties of materials in thermomechanical coupled field, providing theoretical support for the microstructure control and performance evaluation of aerospace materials. This paper systematically reviewed the research progress on mechanically-coupled phase-field models in the fields of typical aerospace materials, such as superalloys and titanium-based alloys. It outlined typical application cases of the model in investigating the mechanisms of solid-state phase transformation. This review encompassed applications of phase-field models from elastic and elastoplastic to defect-coupled formulations, addressing both γ′ phase precipitation and rafting in superalloys, as well as the evolution of precipitate phases in titanium-based alloys. Furthermore, it discussed the challenges in current research and provided an outlook on the future prospects of the mechanically-coupled phase-field model in aerospace material research. Lastly, it highlighted the key issues of this type of phase-field model and its future development directions.

      • 0+1
      • 1+1
      • 2+1
      • 3+1
      • 4+1
    • Application of Phase Field Simulation in Reliability of Electronic Packaging

      2026, 55(5):1317-1333. DOI: 10.12442/j.issn.1002-185X.20250226

      Abstract (38) HTML (39) PDF 3.21 M (73) Comment (0) Favorites

      Abstract:With the rapid advancement of electronic devices towards miniaturization, high integration, and multifunctionality, the complexity of chip packaging has increased significantly. As packaging density continues to rise and solder joint size decreases, the operating conditions of electronic components in service become increasingly demanding. Consequently, the reliability of micro-interconnect solder joints has become a critical concern, with solder joint failure emerging as one of the key bottlenecks hindering the further development of electronic packaging techniques. This paper focuses on the failure behavior of micro-interconnect solder joints and reviews several common reliability issues in electronic packaging. Based on the selection of different phase-field variables, several typical phase-field modeling approaches are summarized. Furthermore, the paper analyzes the application and current progress of phase-field methods in simulating several representative failure modes, such as electromigration, through-silicon vias (TSVs), and interfacial intermetallic compound (IMC) growth. Finally, the potential of phase-field modeling in studying micro-scale failure mechanisms is discussed, along with its future development trends in multi-physics coupling, data-driven modeling, and engineering applications. This work aims to provide systematic references and methodological support for both theoretical analysis and practical engineering studies on the failure behavior of micro-interconnect solder joints.

      • 0+1
      • 1+1
      • 2+1
      • 3+1
      • 4+1
      • 5+1
      • 6+1
      • 7+1
      • 8+1
      • 9+1
      • 10+1
      • 11+1
      • 12+1
    • Research Status and Prospects of Solidification Microstructure Selection Maps in Metal Additive Manufacturing Processes

      2026, 55(5):1334-1347. DOI: 10.12442/j.issn.1002-185X.20250234

      Abstract (39) HTML (44) PDF 4.42 M (75) Comment (0) Favorites

      Abstract:Metal additive manufacturing, characterized by its point-by-point and layer-by-layer forming process, enables the efficient and precise fabrication of complex structural components that are difficult to produce with traditional manufacturing techniques. However, the metal additive manufacturing process involves large temperature gradients and rapid cooling rates, constituting a highly non-equilibrium process that may lead to crack formation within the solidified microstructure, thereby influencing the mechanical properties of the material. Consequently, the control of solidification microstructure during metal additive manufacturing is pivotal for designing materials with superior mechanical properties. The solidification microstructure selection map serves as a tool that establishes a mapping relationship between composition/process parameters (used as both horizontal and vertical axes) and solidification microstructure, enabling the prediction and regulation of solidification microstructures in metal additive manufacturing processes. This review provided a comprehensive summary of the current types of solidification microstructure selection maps, outlined their construction methodologies, and summarized the applications of various solidification microstructure selection maps in metal additive manufacturing processes for recent years. Lastly, this review offered insights into the prospects of solidification microstructure selection maps in terms of novel types, innovative construction approaches, and potential application values.

      • 0+1
      • 1+1
      • 2+1
      • 3+1
      • 4+1
      • 5+1
      • 6+1
      • 7+1
      • 8+1
      • 9+1
      • 10+1
      • 11+1
      • 12+1
      • 13+1
      • 14+1
      • 15+1
      • 16+1
      • 17+1
    • Research Progress on Pre-treatment Techniques of Casting Process Simulation Software

      2026, 55(5):1348-1362. DOI: 10.12442/j.issn.1002-185X.20240849

      Abstract (30) HTML (45) PDF 2.26 M (62) Comment (0) Favorites

      Abstract:The pre-processing module is a core component of casting numerical simulation software, directly influencing the accuracy and efficiency of simulations. This paper presented a comprehensive review of pre-processing techniques in casting simulation, with a specific focus on geometric modeling, parameter configuration, and the pivotal mesh generation techniques. The principles and evolutionary history of hexahedral, tetrahedral, and hybrid meshing methods were elaborated. Furthermore, the strengths and limitations of various algorithms in handling complex castings were analyzed. Finally, the paper identified key challenges currently facing pre-processing modules and outlined future development trends.

      • 0+1
      • 1+1
      • 2+1
      • 3+1
      • 4+1
      • 5+1
      • 6+1
      • 7+1
      • 8+1
      • 9+1
      • 10+1
      • 11+1
      • 12+1
      • 13+1
      • 14+1
      • 15+1
      • 16+1
      • 17+1
      • 18+1
      • 19+1
      • 20+1
      • 21+1
      • 22+1
      • 23+1
      • 24+1
      • 25+1
      • 26+1
      • 27+1
      • 28+1
      • 29+1
      • 30+1
      • 31+1
      • 32+1
      • 33+1
      • 34+1
      • 35+1
      • 36+1
      • 37+1
      • 38+1
      • 39+1
      • 40+1
      • 41+1
      • 42+1
      • 43+1
      • 44+1
      • 45+1
      • 46+1
      • 47+1
      • 48+1
      • 49+1
      • 50+1
      • 51+1
      • 52+1
      • 53+1
      • 54+1
    • >Materials Science
    • Effect of Element Ti on Microstructure, Properties, and Thermal Stability of NbTaMoWTix Refractory High-Entropy Alloys

      2026, 55(5):1184-1190. DOI: 10.12442/j.issn.1002-185X.20250034

      Abstract (41) HTML (49) PDF 2.44 M (73) Comment (0) Favorites

      Abstract:The effect of element Ti on the microstructures and mechanical properties of as-cast and annealed NbTaMoWTix (x=0, 1, 1.5, 2) refractory high-entropy alloys (RHEAs) was investigated. Results show that after Ti addition, the as-cast alloys maintain their original single body-centered cubic (bcc) structure. As for the mechanical properties, compared with those without Ti addition, the strength and ductility of NbTaMoWTix alloys increase by 93% and 215%, respectively. Furthermore, the NbTaMoWTix alloys exhibit outstanding thermal stability. After annealing at 1400 °C, they still maintain the single bcc structure, and their mechanical properties are even slightly improved. However, annealing leads to a significant deterioration in the mechanical properties of high-Ti-content alloys (NbTaMoWTi1.5 and NbTaMoWTi2), owing to the formation of Ti-rich acicular phases.

      • 0+1
      • 1+1
      • 2+1
      • 3+1
      • 4+1
      • 5+1
      • 6+1
      • 7+1
      • 8+1
      • 9+1
    • Low-Cycle Fatigue Behavior of Ultrafine-Grained Pure Titanium

      2026, 55(5):1191-1198. DOI: 10.12442/j.issn.1002-185X.20250036

      Abstract (32) HTML (30) PDF 4.86 M (62) Comment (0) Favorites

      Abstract:Ultrafine-grained (UFG) pure titanium was produced by equal channel angular pressing for 4 passes, followed by rotatory swaging at room temperature. The strain-controlled low-cycle fatigue tests of UFG and coarse-grained (CG) pure titanium were conducted by Instron electro-hydraulic servo fatigue testing machine in the strain amplitude range of 0.5%–1.1% at room temperature. Transmission electron microscope (TEM) and scanning electron microscope were used to investigate the microstructure and fracture surface of UFG pure titanium after fatigue tests. Results show that UFG pure titanium exhibits a longer low-cycle fatigue life, compared with the CG pure titanium. For example, at a total strain amplitude of 0.5%, UFG and CG pure titanium has fatigue life of 10 850 and 4820 cycles, respectively. Significant cyclic softening occurs in UFG pure titanium, except in the case of a total strain amplitude of 0.5%. Hysteresis loop area is increased rapidly with the increase in strain amplitude. The fracture surface shows that the fatigue crack is initiated from the specimen surface. A series of fatigue striations and many microcracks exist in the propagation region. With the increase in strain amplitude, the predominant failure mode is transformed from ductile failure into quasi-cleavage failure. Dislocation slip is the main plastic deformation mechanism of UFG pure titanium during low-cycle fatigue deformation.

      • 0+1
      • 1+1
      • 2+1
      • 3+1
      • 4+1
      • 5+1
      • 6+1
      • 7+1
      • 8+1
      • 9+1
    • Real-Time Tracking of Tensile Deformation Behavior in GH4169 Under Tensile Stress Based on DIC and EBSD

      2026, 55(5):1199-1208. DOI: 10.12442/j.issn.1002-185X.20250350

      Abstract (37) HTML (30) PDF 4.01 M (62) Comment (0) Favorites

      Abstract:The deformation behavior of GH4169 superalloy under room-temperature uniaxial tension was investigated through synchronized mesoscopic digital image correlation (DIC) and electron backscatter diffraction (EBSD) in-situ characterization techniques. Results show that in the field of grain deflection dynamics, through quantitative analysis using the independently developed M-DIC software, during uniaxial tension with significant bidirectional rotation along the tensile axis and the stress level of 1100 MPa, oscillatory rotation of ±0.6° can be obtained, and microvoids are generated at the grain boundaries with 45° to the stress axis. EBSD crystallographic analysis demonstrates the load-dependent slip system evolution: in the initial stage, the soft-oriented systems with high Schmid factor (>0.4) is activated and then transformed into hard-oriented systems during cross-slip, generating parallel slip bands and dislocation pile-ups at grain boundaries. During the uniaxial tensile process, the characteristic of strain energy accumulation is observed, which follows a two-stage accumulation pattern: initial grain boundary localization (Stage I) and intragranular propagation (Stage II). Ultimately, the intergranular cracks are initiated at triple junctions, and the twin boundaries exhibit superior mechanical stability compared with the large-angle grain boundaries. Deformation texture characteristics indicate the copper-type components, including C{112}<11>, S{123}<63>, and B{110}<10>. The complete deformation sequence is as follows: cross-slip of soft-oriented slip systems→initiation of dislocation slip→strain partitioning through grain rotation→intergranular stress concentration→damage dominated by boundary cracking. The cross-scale deformation mechanism revealed in this study provides critical guidance for the crystal boundary engineering to optimize nickel-based superalloys.

      • 0+1
      • 1+1
      • 2+1
      • 3+1
      • 4+1
      • 5+1
      • 6+1
      • 7+1
      • 8+1
      • 9+1
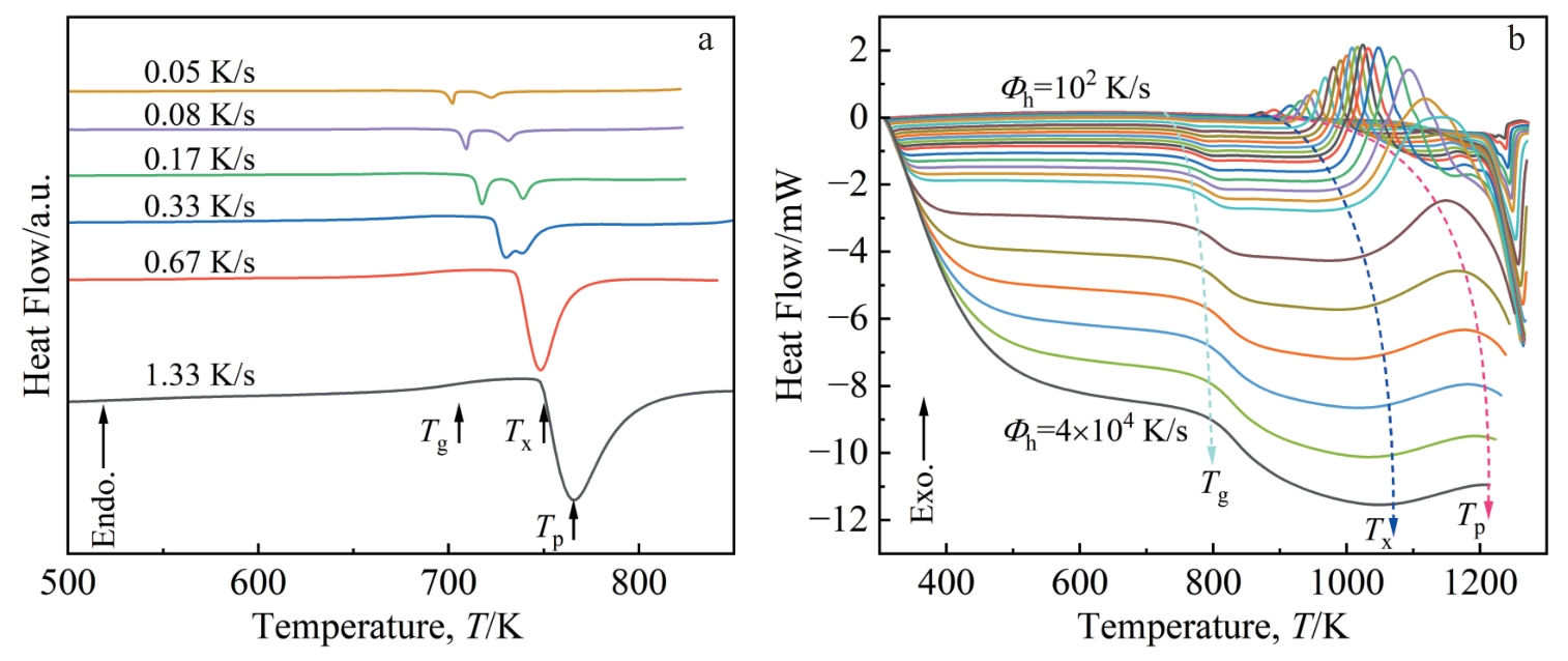
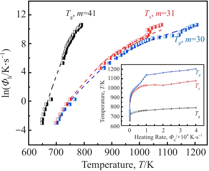
    • Kinetic Behavior of Supercooled Liquid of Zr61Ti2Cu25Al12 Amorphous Alloy: by Flash Differential Scanning Calorimetry

      2026, 55(5):1279-1285. DOI: 10.12442/j.issn.1002-185X.20230404

      Abstract (30) HTML (26) PDF 1.79 M (69) Comment (0) Favorites

      Abstract:Based on the classical nucleation theory, a time-temperature-transformation (TTT) curve of Zr61Ti2Cu25Al12 alloy was constructed, and its critical cooling rate Rc was estimated and modified as about 63 K/s. The reliability of this estimation was evaluated using the glass-forming ability criteria, and the dominant roles of nucleation rate I and growth rate U on the crystallization mechanism in different supercooled liquid regions were explained. Combining flash differential scanning calorimetry with conventional thermal analysis, a heating rate range spanning six orders of magnitude (10-2–104 K/s) was achieved for the Zr61Ti2Cu25Al12 amorphous alloy, demonstrating the heating-rate dependence of kinetic behavior of supercooled liquid over an ultra-wide range. Results show that firstly, the dependence of heating rate on characteristic temperatures follows the Vogel-Fulcher-Tammann equation. Secondly, the small change in fragility coefficient (m=30–41) means that its supercooled liquid structure changes relatively smoothly with temperature, exhibiting “strong” liquid behavior to a certain extent, making the alloy have a certain glass-forming ability. This study provides technical guidance and theoretical basis for the preparation of Zr61Ti2Cu25Al12 amorphous alloy, especially for the plastic forming in the supercooled liquid region and the formulation of heat treatment process.

      • 0+1
      • 1+1
      • 2+1
      • 3+1
    • Research on Creep Fracture Behavior of DZ411 Alloy at 950 °C/190 MPa

      2026, 55(5):1286-1291. DOI: 10.12442/j.issn.1002-185X.20240797

      Abstract (28) HTML (28) PDF 2.85 M (61) Comment (0) Favorites

      Abstract:The creep behavior of the DZ411 alloy at 950 ℃ and 190 MPa was investigated using high-resolution transmission electron microscopy and scanning electron microscopy. The relationship between the deformation mechanism of the γ′ phase and the strain rate during creep was elucidated. With various creep durations, the alloy forms a raft structure due to the directional diffusion of elements. Because the length of the rafted γ′ phase is significantly extended, the impeding effect on dislocations is greatly increased. Consequently, in the early stage of creep and before the rafting of the γ′ phase, the alloy exhibits a higher strain rate, with a total strain variation of 0.31% and a strain rate of 2.78×10–7 s–1. As the rafting process of the γ′ phase progresses, the impeding effect on dislocations also increases, causing the alloy to enter a steady-state creep phase. In this phase, the strain rate significantly decreases, with a total strain variation of 2.35% and a strain rate of 2.17×10–8 s–1. However, when the stress in the alloy accumulates to a certain extent, dislocations will enter the γ′ phase through a climbing mechanism. A large number of dislocations cutting into the γ′ phase adversely affect the continuity of the raft structure, reducing the effective length of the γ′ phase, significantly weakening the impeding effect of the dislocations, and causing the alloy to enter an unstable state. This accelerates the creep process and ultimately leads to the fracture of the alloy. The total strain variation in this stage is 17.05%, with a strain rate of 2.22×10–7 s–1.

      • 0+1
      • 1+1
      • 2+1
      • 3+1
      • 4+1
      • 5+1
    • Nanocrystallization on Surface Layer of Tungsten Using Pressure-Assisted Heat Treatment Process

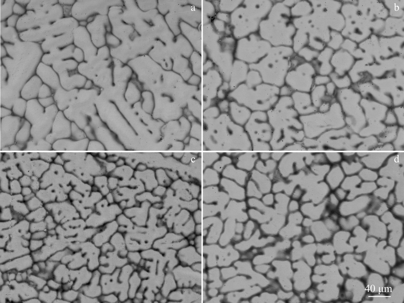
      2026, 55(5):1292-1298. DOI: 10.12442/j.issn.1002-185X.20240713

      Abstract (26) HTML (30) PDF 2.01 M (63) Comment (0) Favorites

      Abstract:To further improve the service life of tungsten (W) workpieces under harsh working conditions such as high-energy irradiation and arc erosion, it is necessary to carry out nanocrystallization treatment on the W surface to further improve the fatigue resistance and radiation resistance of surface materials. However, due to the high melting point and high hardness of W, it is very difficult for the surface material of W to undergo plastic deformation or local melting. This research used pure W plate as raw material. The W plate was applied with a pressure of 10 MPa, and then it was heated to 900 ℃ in a vacuum environment and kept at this target temperature for 3 h. The surface of W plate was treated by the pressure-assisted heat treatment process. The results show that for the treated W plate, a nanocrystalline layer with a thickness of 2–4 μm is formed on its surface, and the nanocrystal layer exhibits a uniform thickness. The nanocrystals are equiaxed in shape, with an average grain size generally less than 300 nm. However, the microstructure inside W plate still keeps coarse grains. The nanocrystalline layer is firmly bonded to the internal coarse grains, without any obvious interfaces. This work is potentially to explore a more efficient and convenient technical path for the surface nanocrystallization of refractory metals such as W, which has important theoretical significance and practical application value.

      • 0+1
      • 1+1
      • 2+1
      • 3+1
      • 4+1
      • 5+1
      • 6+1
    • Laser Welding Process of Titanium/Steel Dissimilar Metals Assisted by Laser Cladding V Transition Layer and Their Properties

      2026, 55(5):1299-1307. DOI: 10.12442/j.issn.1002-185X.20250128

      Abstract (46) HTML (41) PDF 1.83 M (68) Comment (0) Favorites

      Abstract:Titanium/steel dissimilar metal structural components have great application prospects in multiple fields. In this work, the method of laser cladding vanadium (V) transition layer was adopted to assist the laser butt welding of Ti-4Al-2V titanium alloy and 06Cr18Ni11Ti stainless steel, and titanium/steel dissimilar metal joints with excellent microstructure and properties were obtained. Using high-purity vanadium (V) powder as the transition metal material, a certain thickness of V transition layer was prepared on the 4 mm-thick end face of Ti-4Al-2V titanium alloy by laser cladding equipment through a multi-layer and multi-pass cladding process, and the chemical composition, microstructure morphology and residual stress in the transition layer were analyzed. Subsequently, the V cladding sample was subjected to laser butt welding with 06Cr18Ni11Ti stainless steel to characterize the macroscopic morphology, microstructure, mechanical properties (tensile strength and impact toughness at high and room temperatures), fracture morphology and joint hardness of the titanium alloy+V transition layer+laser weld seam+stainless steel welded joint. The results show that during the laser cladding of V transition layer on titanium alloy, when the thickness of V layer reaches≥6.8 mm, the V content near the surface of the cladding metal is approximately 98wt%, and the Ti content decreases to 0.18wt%–0.22wt%. The average tensile strength at room temperature of the above-mentioned titanium/steel welded joints is 537.3 MPa, and the average tensile strength at high temperature (350 ℃) is 426.3 MPa. Moreover, the tensile specimen at room temperature fractures on the V cladding layer. The average impact toughness is 38.2 J/cm2 (at the center of the weld seam), 102.6 J/cm2 (in the heat affected zone, on the side adjacent to the V cladding layer), and 167.6 J/cm2 (in the heat affected zone, on the side adjacent to the stainless steel). SEM analysis was conducted on the fracture surfaces of the tensile specimens. The fracture morphology shows that dimples account for the main part, and in some local areas, there are mixed fracture characteristics of dimples+cleavage or quasi-cleavage, indicating that both ductile and brittle fractures exist simultaneously, with ductile fracture being the main type.

      • 0+1
      • 1+1
      • 2+1
      • 3+1
      • 4+1
      • 5+1
      • 6+1
      • 7+1
      • 8+1
      • 9+1
      • 10+1
      • 11+1
    • >Reviews
    • Research Progress on Radial Forging for Superalloy

      2026, 55(5):1363-1373. DOI: 10.12442/j.issn.1002-185X.20240791

      Abstract (33) HTML (54) PDF 1.64 M (77) Comment (0) Favorites

      Abstract:Superalloys, serving as the critical materials for hot-end components like turbine blades, combustion chambers, and turbine disks, are widely used in aviation, aerospace, and energy sectors due to their excellent performance in high-temperature environments. However, controlling the microstructure of superalloys remains a significant challenge in actual production. Radial forging, with its high efficiency, high material utilization, and significant improvement of the microstructure of forgings, shows great potential in the production of superalloy materials. Through multiple hammers and high-frequency forging, radial forging achieves uniform deformation of the billets, enhancing the mechanical properties and internal density of the forgings. This paper systematically elaborates on the driving principles of radial forging equipment and the influence of key process parameters on the production process. It analyzes the microstructure evolution mechanism and grain growth behavior of superalloys under multi-pass high-frequency forging, compares the applicability of different forging penetration models, and summarizes the current research status of stress-strain constitutive models and microstructure evolution models in finite element simulation. This review also points out that high-precision multi-physics coupled simulation and intelligent process design are the core directions for future development.

      • 0+1
      • 1+1
      • 2+1
      • 3+1
      • 4+1
      • 5+1
      • 6+1
      • 7+1
      • 8+1
      • 9+1
    • Research Progress on Irradiation Damage Behavior of Molybdenum-Rhenium Alloys for Nuclear Reactors

      2026, 55(5):1374-1384. DOI: 10.12442/j.issn.1002-185X.20250279

      Abstract (46) HTML (51) PDF 1.66 M (82) Comment (0) Favorites

      Abstract:The structural materials of space nuclear reactors need to withstand extreme service environments such as high temperature and high-flux neutron irradiation, and their performance greatly affects the safety and economy of reactor operation. This paper focuses on the irradiation damage behavior of Mo-Re alloys used in space nuclear reactors, reviews irradiation damage effects, microstructure evolution caused by irradiation, and degradation of service performance. It provides a theoretical basis for the microstructure optimization, performance prediction, and service life evaluation of Mo-Re alloys as reactor materials.

      • 0+1
      • 1+1
      • 2+1
      • 3+1
      • 4+1
      • 5+1
      • 6+1
      • 7+1
      • 8+1
      • 9+1

Current Issue


,Vol., Issue

Table of Contents

Search by Issue

Issue

Most Read

Most Cited

Most Downloaded